6. QUALITY CHANGES AND SHELF LIFE OF CHILLED FISH


6.1. The effect of storage temperature
6.2. The effect of hygiene during handling
6.3. The effect of anaerobic conditions and carbon dioxide
6.4. The effect of gutting
6.5. The effect of fish species, fishing ground and season


6.1 The effect of storage temperature

Chill storage (0-25°C)

It is well known that both enzymatic and microbiological activity are greatly influenced by temperature. However, in the temperature range from 0 to 25°C, microbiological activity is relatively more important, and temperature changes have greater impact on microbiological growth than on enzymatic activity (Figure 6.1).

Figure 6.1 Relative enzyme activity and growth rate of bacteria in relation to temperature (Andersen et al., 1965)

Many bacteria are unable to grow at temperatures below 10°C and even psychrotrophic organisms grow very slowly, and sometimes with extended lag phases, when temperatures approach 0°C Figure 6.2 shows the effect of temperature on the growth rate of the fish spoilage bacterium Shewanella Putrefaciens. At 0°C the growth rate is less than one-tenth of the rate at the optimum growth temperature.

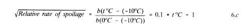
Microbial activity is responsible for spoilage of most fresh fish products. The shelf life of fish products, therefore, is markedly extended when products are stored at low temperatures. In industrialized countries it is common practice to store fresh fish in ice (at 0°C) and the shelf life at different storage temperatures (at t°C) has been expressed by the relative rate of spoilage (RRS), defined as shown in Equation 6.a (Nixon, 1971).  

Figure 6.2 Effect of temperature on the maximum specific growth rate (µmax) of Shewanella putrefaciens grown in a complex medium containing TMAO (Dalgaard, 1993) 

While broad differences are observed in shelf lives of the various seafood products, the effect of temperature on RRS is similar for fresh fish in general. Table 6.1 shows an example with different seafood products.

Table 6.1 Shelf lives in days and relative rates of spoilage (RRS) of seafood products stored at different temperatures  

 

0°C

5°C

10°C

 

shelf life

RRS

shelf life

RRS

shelf life

RRS

Crab clawa

10.1

1

5.5

1.8

2.6

3.9

Salmonb

11.8

1

8.0

1.5

3.0

3.9

Sea breamc

32.0

1

-

-

8.0

4.0

Packed codd)

14

1

6.0

2.3

3.0

4.7

a) Cann et al. (1985); b) Cann et al. (1984); c) Olley and Quarmby (1981); d) Cann et al. (1983)

The relationship between shelf life and temperature has been thoroughly studied by Australian researchers (Olley and Ratkowsky, 1973 a, 1973 b). Based on data from the literature they found that the relationship between temperature and RRS could be expressed as an S-shaped general spoilage curve (Figure 6.3). Particularly at low temperatures (e.g., < 10°C this curve is similar to, and confirms the results of Spencer and Baines (1964). These authors, 10 years earlier, found a straight line relationship between RRS and the storage temperatures of cod from the North Sea (Figure 6.3).

The effect of temperature on the rate of chemical reactions is often described by the Arrhenius Equation. This Equation, however, has been shown not to be accurate when used for the effect of a wide range of temperatures, on growth of microorganisms and on spoilage of foods (Olley and Ratkowsky, 1973 b; Ratkowsky et al., 1982). Ratkowsky et al. (1982) suggested the 2-parameter square root model (Equation 6.b) for the effect of sub-optimal temperature on growth of microorganisms

6b

T is the absolute temperature (Kelvin) and Tmin in a parameter expressing the theoretical minimum temperature of growth. The square root of the microbial growth rates plotted against the temperature form a straight line from which Tmin is determined. Several psychrotrophic bacteria isolated from fish products have Tmin values of about 263 Kelvin (-10°C) (Ratkowsky et al., 1982; Ratkowsky et al., 1983). Based on this Tmin value, a spoilage model has been developed. It has been assumed that the relative microbial growth rate would be similar to the relative rate of spoilage. The relative rate concept (Equation 6.a) was then combined with the simple square root model (Equation 6.b) to give a temperature spoilage model (Equation 6.c). As just described, this model was derived from growth of psychrotrophic model has been shown to give good estimates of the effect of temperature on bacteria (Tmin = -10°C) but the RRS of chilled fresh fish as shown in Figure studies (Storey, 1985; Gibson, 1985). 6.1 and also confirmed in other

 

If the shelf life of a fish product is known at a given temperature, the shelf life at other storage temperatures can be calculated from the spoilage models. The effect of temperature, shown in Table 6.2, as calculated from Equation 6.c for products with different shelf lives when stored at 0°C.

Figure 6.3 Effect of temperature on the relative rate of spoilage of fresh fish products. a) the general spoilage curve (Olley and Ratkowsky, 1973 a); b) the linear spoilage model suggested by Spencer and Baines (1964); c) the square root spoilage model derived from growth for psychrotrophic bacteria (Equation 6.c) 

The effect of time/temperature storage conditions on product shelf life has been shown to be cumulative (Charm et al, 1972). This allows spoilage models to be used for prediction of the effect of variable temperatures on product keepability. An electronic time/temperature function integrator for shelf life prediction was developed, based on Equation 6.c. The instrument predicts RRS accurately, but a high price has limited its practical application (Owen and Nesbitt, 1984; Storey, 1985).

Table 6.2 Predicted shelf lives of fish products stored at different temperatures

Shelf life in days of product stored in ice (0°C)

Shelf life at chill temperatures (days)

5°C

10°C

15°C

6

2.7

1.5

1

10

4.4

2.5

1.6

14

6.2

3.5

2.2

18

8

4.5

2.9

The temperature history of a product, e.g., through a distribution system, can be determined by a temperature logger. Using a spoilage model and simple PC software, the effect of a given storage temperature profile can then be predicted. McMeekin et al. (1993) reviewed the literature on application of temperature loggers and on predictive temperature models. A product temperature profile also allows growth of pathogenic microorganisms to be estimated from safety models. Computers and temperature loggers are today available at reasonable prices and it is most likely that spoilage and safety models will be used frequently in the future.

The microflora responsible for spoilage of fresh fish changes with changes in storage temperature. At low temperatures (0-5°C), Shewanella putrefaciens, Photobacterium phosphoreum, Aeromonas spp. and Pseudomonas spp. cause spoilage (Table 5.5). However, at high storage temperatures (15-30°C) different species of Vibrionaceae, Enterobacteriaceae and Gram-positive organisms are responsible for spoilage (Gram et al., 1987; Gram et al., 1990; Liston, 1992). Equation 6.c does not take into account the change in spoilage microflora. Nevertheless, reasonable estimates of RRS are obtained for whole fresh fish, for packed fresh fish and for superchilled fresh fish products (Figure 6.3; Gibson and Ogden, 1987; Dalgaard and Huss, 1994). For tropical fish, however, the average relative rate of spoilage of a large number of species stored at 20°-30°C was approximately 25 times higher than at 0°C The RRS of tropical fish is thus more than twice as high as estimated from the temperature models shown in Figure 6.3. Tropical fish are likely to be exposed to high temperatures and a new tropical spoilage model, covering the range of temperatures from 0°-30°C, was recently developed (Equation 6.d; Dalgaard and Huss, 1994). Figure 6.4 shows that the natural logarithm of RRS of tropical fish is linearly related to the storage temperature. This figure also shows the differences between the new tropical model and previous spoilage models developed for fish from temperate waters.

Ln (relative rate of spoilage for tropical fish) = 0. 12 * t °C                                       6.d

Temperature models based on the relative rate concept do not take into account the initial product quality. Inaccurate shelf life predictions, therefore, may be obtained for products with variable initial quality. Spencer and Baines (1964), however, suggested that both the effect of the initial product quality and the effect of storage temperature could be predicted. At a constant storage temperature measurements of quality will change linearily from an initial to a final level reached when the product is no longer acceptable (Equation 6.e). Shelf life at a given temperature and a given initial quality is determined (Equation 6.e) and then the shelf life at other temperatures can be determined from a temperature spoilage model.

Figure 6.4 Natural logarithm of the relative rateof spoilage of tropical fish species plotted against storage temperatures (Dalgaard and Huss, 1994)

 

Much later, the demerit point system, also known as the quality index method, was developed and has proved most useful for obtaining a straight line relationship between quality scores and storage time (see section 8.1). Bremner et al. (1987) suggested that the rate of change in quality scores, determined by the demerit point system, couldbe quantitatively described at different temperatures by Equation 6.c. Gibson (1985) related microbiological conductance detection times (DT), determined with the Malthus Growth Analyzer, to shelf life of cod. At storage temperatures from 0° to 10°C the daily rate of change in DT values was well predicted by Equation 6.c, and shelf lives were predicted at different temperatures from initial and final DT values and from the temperature spoilage model.

Many aspects of fresh fish spoilage remain to be studied; e.g., the activity of the microorganisms responsible for spoilage at different storage temperatures. Despite this lack of understanding, the relative rate concept has made it possible to quantify and mathematically describe the effect of temperature on the rate of spoilage of various types of fish products. These temperature spoilage models allow time/temperature function integration to be used for evaluation of production, distribution and storage conditions, and when combined with methods for determination of initial product quality, shelf life of various fish products can be predicted.

Apart from the actual storage temperature, the delay before chilling is of great importance. Thus, it can be observed that if white-fleshed, lean fish enter rigor mortis at   temperatures above + 17°C, the muscle tissue may be ruptured through severe muscle contractions and weakening of the connective tissue (Love, 1973). The flakes in the fillets separate from each other and this "gaping" ruins the appearance. The fish also become difficult to fillet (Table 6.3) and the water- binding capacity decreases.

Table 6.3 Fillet yield of gutted cod (Hansen, 1981)

 

Percentage fillet yield

 

Iced 1 hour after catch

Iced 6 ½ hour after catch

Yield of fillets

48.4

46.5

Yield after trimming

43.3

40.4

Rapid chilling is also crucial for the quality of fatty fish. Several experiments have shown that herring and garfish (Belone belone) have a significantly reduced storage life if they are exposed to sun and wind for 4-6 hours before chilling. The reason for the observed rapid quality loss is oxidation of the lipids, resulting in rancid off-flavours. It should be noted, however, that high temperatures are only partly responsible for the speed of the oxidation processes. Direct sunlight combined with wind may have been more important in this experiment as it is difficult to stop autocatalytic oxidation processes once they have been initiated (see section 5.1).

Superchilling (0°C to -4°C)

Storage of fish at temperatures between 0°C and -4°C is called superchilling or partial freezing. The shelf life of various fish and shellfish can be extended by storage at subzero temperatures. The square root spoilage model (Equation 6.c) gives a reasonable description of RRS of superchilled products (Figure 6.5). The shelf life predicted by the square root model at -1°C, -2°C and -3°C for a product that keeps 14 days in ice is 17, 22 and 29 days, respectively.

Superchilling extends the shelf life of fish products. The technique can be used, for example where productive fishing grounds are so far from ports and consumers that normal icing is insufficient for good quality products to be landed and sold. The application of superchilling to replace transport of live fish has also been studied in Japan (Aleman et al., 1982).

Figure 6.5 Square root plot of the relative rate of spoilage of superchilled cod, shrimp and mullet. The solid line shows relative rates of spoilage predicted by Equation 6.c (Dalgaard and Huss, 1994) 

The technology needed to use superchilling at sea as well as for storage on-land is available today. The "Frigido-system", developed in Portugal in the 1960s, uses heat exchanges in the fish holds. Sub- zero temperatures were kept constant (±0.5°C) and the fish:ice ratio was reduced from the normal 1:1 to 3:1. Sub-zero storage temperatures in fishing vessels can also be obtained in refrigerated sea water (RSW) where the freezing point of water is reduced by NaCl or other freezing point depressors. Compared to ice storage, the RSW systems chill fish more rapidly, reduce the exposure to oxygen, reduce the pressures that often occur when fish are iced and also give significant labour-saving (Nelson and Barnett, 1973). Promising results have been obtained with superchilling, but both technical problems and problems in relation to product quality have been observed. Unloading of fish is difficult when heat exchanges are used in fishing vessels and RSW increases the corrosion of the vessels (Partmann, 1965; Barnett et al., 1971). Also, superchilling extends product shelf life, but a negative effect on freshness/prime quality has been observed for some fish species. Merritt (1965) found that cod stored at -2°C for 10 days had an appearance and texture inferior to fish stored at 0°C in ice. The drip of the superchilled fish was increased and at -3°C the texture of whole cod made them unsuitable for filleting. RSW storage gives several fish species a salty taste due to the take-up of sea water (Barnett et al., 1971; Shaw and Botta, 1975; Reppond and Collins, 1983; Reppond et al., 1985). This negative effect of RSW, however, has not been found in all studies (Lemon and Regier, 1977; Olsen et al., 1993). As opposed to cod and several other fish species, the prime quality of superchilled shrimp from Pakistan was increased from 8 days in ice to 16 days in NaCl-ice at -3°C (Fatima et al., 1988). Also, both freshness (measured by a K-value of 20%) and shelf life of cultured carp (Cyrinus carpio), cultured rainbow trout (Salmo gairdnerii) and mackerel (Scomber japonicus) have been improved by superchilling at -3°C as compared to storage at 0°C (Uchiyama et al., 1978 a, 1978 b; Aleman et al., 1982).

The percentage of frozen water in superchilled fish is highly temperature-dependent (-1°C = 19%; -2°C = 55%; -3°C = 70%; -4°C = 76%) (Ronsivalli and Baker, 1981). It has been suggested that negative effects of superchilling on drip loss, appearance, and texture of cod and haddock are due to formation of large ice crystals, protein denaturation and increased enzymatic activity in the partially frozen fish (Love and Elerian, 1964). Simpson and Haard (1987), however, found only very little difference in biochemical and chemical deterioration of cod (Gadus morhua) stored at 0°C and at - 3°C In Japanese studies with seabass, carp, rainbow trout and mackerel, it has been shown that the drip loss as well as several biochemical and chemical deteriorative reactions were reduced in superchilled fish, compared to ice storage (Uchiyama and Kato, 1974; Kato et al., 1974; Uchiyama et al., 1978 a, 1978 b; Aleman et al., 1982).

Superchilling has been used industrially with a few fish species such as tuna and salmon. The negative effects on sensory quality found for some other species may have limited the practical application of the technique. Nevertheless, it seems that shelf life of at least some seafood products is improved considerably by superchilling. Consequently, for selected products, superchilling may well be more suitable than other technologies.

6.2 The effect of hygiene during handling

Onboard handling

Much emphasis has been placed on hygienic handling of the fish from the moment of catching in order to ensure good quality and long storage life. The importance of hygiene during handling onboard has been tested in a series of experiments where various hygienic measures were employed (Huss et al., 1974). The quality and storage life of completely aseptically treated fish (aseptic handling) were compared with fish iced in clean plastic boxes with clean ice (clean handling) and with fish treated badly, i.e., iced in old, dirty wooden boxes (normal handling). As expected, a considerable difference is found in the bacterial contamination of the three batches (Figure 6.6). However, a similar difference in the organoleptic quality is not detected. During the first week of storage no difference whatsoever is found. Only during the second week does the initial contamination level become important and the heavily contaminated fish have a reduction in storage life of a few days compared with the other samples. These results are not surprising if it is kept in mind that bacterial activity is normally only important in the later stages of the storage period as illustrated in Figure 5.1.

Figure 6.6 Bacterial growth (a) and organoleptic quality (b) of plaice stored at 0°C with initial high, medium and low bacterial counts (after Huss et al., 1974)

On the basis of these data it seems sensible to advocate reasonably hygienic handling procedures including use of clean fish boxes. Very strict hygienic measures do not seem to have great importance. In comparison with the impact of quick and effective chilling, the importance of hygiene is minor.

The above-named observations have influenced the discussion about the design of fish boxes. Normally, fish are iced in boxes stacked on top of each other. In this connection it has been argued that fish boxes should have a construction that prevents the ice melt-water from one box draining into the box underneath it. In a system like this, some bacterial contamination of fish in the bottom boxes would be avoided, as melt-water usually contains a large number of bacteria. However, practical experience as well as experiments (Peters et al., 1974) have shown that this type of contamination is unimportant, and it may be concluded that fish boxes allowing the drainage of melt-water from upper into lower boxes are advantageous because the chilling becomes more effective.

Inhibition or reduction of the naturally occurring microflora

In spite of the relatively minor importance of the naturally occurring microflora in the quality of the fish, much effort has been put into reduction or inhibition of this microflora. Many of these methods are only of academic interest. Among these are (at least until now) attempts to prolong the storage life by using radioactive irradiation. Doses of 100 000 - 200 000 rad are sufficient to reduce the number of bacteria and prolong storage life (Hansen, 1968; Connell, 1975), but the process is costly and, to many people, unacceptable in connection with human food. Another method which has been rejected because of concern about public health is treatment with antibiotics incorporated in the ice.

A method that has been used with some success over recent years is treatment with CO2, which can be applied either in containers with chilled seawater or as part of a modified atmosphere during distribution or in retail packages (see section 6.3).

It should also be mentioned that washing with chlorinated water has been tried as a means of decontaminating fish. However, the amount of chlorine necessary to prolong the storage life creates off- flavours in the fish meat (Huss, 1971). The newly-caught fish should be washed in clean seawater without any additives. The purpose of the washing is mainly to remove visible blood and dirt, and it does not cause any significant reduction in the number of bacteria and has no effect on storage life.

6.3 The effect of anaerobic conditions and carbon dioxide

High CO2 concentrations can reduce microbial growth and may therefore extend the shelf life of food products, where spoilage is caused by microbial activity (Killeffer, 1930; Coyne, 1933). Technological aspects of modified atmosphere packaging (MAP) have since been studied. Today, materials and techniques for storage of bulk or retail packed foods are available.

This section discusses the effect of anaerobic conditions and modified atmospheres on the shelf life of fish products. The safety aspects are reviewed in Farber (1991) and Reddy et al. (1992).

Effect on microbial spoilage

Vacuum packaging (VP) and MAP, with high CO2 levels (25% - 100%), extends the shelf life of meat products by several weeks or months (Table 6.4). In contrast, the shelf life of fresh fish is not affected by VP and only a small increase in shelf life can be obtained by MAP (Table 6.4).

Table 6.4 Effect of packaging on the shelf life of chilled fish and meat products

Type of product

Storage temp.

Shelf life (weeks)

Air

VPa

MAPb

Meat (beef, pork, poultry)

1.0 - 4.4°C

1 - 3

1 - 12

3 - 21

Lean fish (cod, pollock, rockfish, trevally)

0.0 - 4.0°C

1 - 2

1 - 2

1 - 3

Fatty fish (herring, salmon, trout)

0.0 - 4.0°C

1 - 2

1 - 2

1 - 3

Shellfish (crabs, scampi, scallops)

0.0 - 4.0°C

½ - 2

-

½ - 3

Warmwater fish (sheepshead, swordfish, tilapia)

2.0 - 4.0°C

½ - 2

-

2 - 4

a) VP: Vacuum packed
b) MAP: Modified atmosphere packed (High CO2 concentrations (25 - 100%)

Differences in spoilage microflora. and in pH are mainly responsible for the observed differences in the shelf life of fish and meat products. Spoilage of meat under aerobic conditions is caused by strict aerobic Gram-negative organisms, primarily Pseudomonas spp. These organisms are strongly inhibited by anaerobic conditions and by CO2. Consequently, they do not play any role in the spoilage of packed meat. Instead the microflora, of VP and MAP meat products changes to be dominated by Gram-positive organisms (Lactic Acid Bacteria), which are much more resistant to CO2 (Molin, 1983; Dainty and Mackey, 1992). Fish stored under aerobic conditions are also spoiled by Gram negative-organisms, primarily Shewanella putrefaciens (see section 5.3).

The spoilage flora on some packed fish products was found to be dominated by Grampositive microorganisms and in this way the microflora, was similar to the flora on packed meats; see Stammen et al. (1990) for a review. For packed cod, however, the Gram-negative organism Photobacterium phosphoreum has been identified as the organism responsible for spoilage. The growth rate of this organism is increased under anaerobic conditions (Figure 6.7) and this may explain the importance of the organism in VP cod.

Figure 6.7 Effect of oxygen and temperature on the maximum specific growth rate ( max of Photobacterium phosphoreum grown in a complex medium containing TMAO (Dalgaard, 1993)

In CO2-packed fish, the growth of Shewanella putrefaciens and of many other microorganisms found on live fish is strongly inhibited. In contrast P. phosphoreum was shown to be highly resistent to CO2 (Figure 6.8). It was also shown that the limited effect of CO2 on growth of this bacteria correspond very well with the limited effect of CO2 on the shelf life of packed fresh cod. P. phosphoreum reduces TMAO to TMA while very little H2S is produced during growth in fish substrates. Spoiled VP and MAP cod is characterized by high levels of TMA, but little or no development of the putrid or H2S odours typical for some aerobically stored spoiled fish. The growth characteristics of P. phosphoreum and the metabolic activity of the organism thus explain both the short shelf life and the spoilage pattern of packed cod (Dalgaard, 1994 a).

The shelf life of VP and MAP cod is similar to various other sea food products (Table 6.4). P. phosphoreum is widespread in the marine environment and it seems likely that this organism or other highly CO2 resistent microorganisms are responsible for spoilage of packed sea food products (Baumann and Baumann, 1981; van Spreekens, 1974; Dalgaard et al., 1993).

The best effect of MAP storage on shelf life has been obtained with fish from warm waters. The shelf life of these products, however, is still relatively short compared to meat products (Table 6.4).

Very low bacterial level (105-106 cfu/g) has been found at the time of sensory rejection of some packed fish products. In these cases non-microbial reactions may have been responsible for spoilage.

Figure 6.8 Effect of CO2 on the maximum specific growth rate (µmax) of Photobacterium phosphoreum (circles) and of Shewanella putrefaciens (squares). Experiments were carried out at 0°C (Dalgaard, 1994 b)

Effect of non-microbial spoilage reactions

CO2 is dissolved in the water phase of the flesh of MAP fish and a decrease in pH of about 0.2- 0.3 units is observed, depending on the CO2 concentration in the surrounding gaseous atmosphere. The water-holding capacity of muscle proteins is decreased by decreased pH and an increased drip loss is expected for fish stored in high CO2 concentrations. Increased drip has been found for cod fillets, red hake, salmon, and shrimps (Fey and Regenstein, 1982; Layrisse and Matches, 1984; Dalgaard et al., 1993) but not for herring, red snapper, trevally, Dungeness crab, and rockfish (Cann et al., 1983; Gerdes et al. 1991; Parking and Brown, 1983 and Parkin et al., 1981).

Coyne (1933) and many later studies have found the textural quality of fish stored in 100% CO2 to be reduced. However, up to 60% CO2 has no negative effect on the texture of cod. The colour of the belly flaps, of cornea, and of the skin may be altered for whole fish stored in high CO2 concentrations (Haard, 1992). Packaging may also stimulate the formation of metmyoglobulin in red- fleshed fish and thereby result in a darkening of fish muscles. Although oxygen-containing modified atmospheres have been used, the development of rancid off-odours in fatty fish species has not been registered as a problem (Haard, 1992).

Carbon dioxide used in combination with refrigerated seawater systems

Storage of fish in refrigerated seawater (RSW) was discussed in section 6. 1. Only the effect of addition of CO2 to RSW will be considered in this section. Table 6.5 shows the effect of RSW and RSW + CO2 on the shelf life of various fish products, as compared to storage in ice.

Table 6.5 Shelf life of various fish products stored in Refrigerated Seawater (RSW) and in RSW with added CO2 

Type of product

Storage temp. in RSW

Shelf life (days)

References

Ice (0°C)

RSW

RSW+CO2

Pacific cod

-1.1°C

6-9

-

9-12

Reppond and Collins (1983)
Pink shrimp

-1.1°C

-

4-5

6

Barnett et al. (1978)
Herring

-1.0°C

-

8-8.5

10

Hansen et al. (1970)
Walleye Pollock

-1.0°C

6-8

4-6

6-8

Reppond et al. (1979, 1985)
Rockfish

-0.6°C

-

7-10

17

Barnett et al. (1971)
Chum Salmon

-0.6°C

-

7-11

18

Barnett et al. (1971)
Silver Hake

0-1°C

4-5

4-5

5

Hiltz et al. (1976)
Capelin

+0.2 - -1.5°C

6

2

2

Shaw and Botta (1975)

An evident shelf life-extending effect of CO2 is only seen with some species. Several negative effects of adding CO2 to RSW-systems have been observed. The fish colour and texture were negatively influenced, and CO2 dissolved in the flesh made mackerel unsuitable for canning (Longard and Regier, 1974; Lemon and Regier, 1977).

CO2 acidifies the seawater, and a lowered pH inhibits the enzymatic reactions that otherwise lead to black spots in shrimps and prawns. The shelf life of pink shrimps can be more than doubled by storage in RSW + CO2, where, compared to ice storage, colour, texture, flavour, and odour were improved (Nelson and Barnett, 1973). RSW+CO2 stored prawns, however, may be unacceptably tough and have a "soft shell" appearance (Ruello, 1974).

Sea water acidified by CO2 is highly corrosive. Therefore, inert materials are needed in RSW+CO2 systems, e.g., for heat exchange. These materials are available, but their cost must be taken into account when the application of RSW + CO2 systems is evaluated (Nelson and Barnett, 1973).

Future application of carbon dioxide for shelf life extension

For most MAP seafoods, the production of TMA is delayed by only a few days compared to aerobic or anaerobic storage. This indicates that fish products in general are contaminated with a highly CO2 resistent microflora of TMAO reducing organisms. Very high CO2 concentrations can inhibit microbial growth but high levels of CO2 have a negative effects on other aspects of the fish quality. MAP has found little practical application with fish products as compared to meat products. The main reasons for this are probably that:

Packaging, however, can be used simply because packed products are more convenient to handle, e.g., in supermarkets. According to the EEC Council Directive of 22 July 1991 (91/493/EEC), VP and MAP fish products are considered as fresh products. Consequently, CO2 can be used for preservation of fresh fish products, when a shelf life extension of only a few days is found to be sufficient.

The negative effect Of CO2 on fish colour is primarily a problem for whole fish and the negative effect of CO2 on texture and drip loss is only observed with high CO2 concentrations. A pronounced effect on growth of S. putrefaciens and on many other bacteria is obtained with even moderate CO2 concentrations (40-80%). It is therefore likely that, in the future, MAP will be used in combination with preservation techniques that has been developed specifically to inhibit growth of CO2 resistent TMAO reducing marine spoilage bacteria such as P. phosphoreum.

The effect of MAP also seems to depend on fish species and further studies are needed to determine if MAP can give interesting shelf life extensions for other fish species, e.g., those from warm waters. Finally, high CO2 concentrations could be used for fish intended for fishmeal as the negative effects of CO2 on colour and texture in this case are less important.

6.4 The effect of gutting

It is a common experience that the quality and storage life of many fish decrease if they have not been gutted. During feeding periods the fish contain many bacteria in the digestive system and strong digestive enzymes are produced. The latter will be able to cause a violent autolysis post mortem, which may give rise to strong off-flavour especially in the belly area, or even cause belly-burst. On the other hand, gutting means exposing the belly area and cut surfaces to the air thereby rendering them more susceptible to oxidation and discoloration. Thus, many factors such as the age of the fish, the species, amount of lipid, catching ground and method, etc., should be taken into consideration before deciding whether or not gutting is advantageous.

Fatty species

In most cases,small- and medium-sized fatty fish such as herring, sardines and mackerel are not eviscerated immediately after catch. The reason for this is partly that a large number of small fish are caught at the same time and partly because of problems with discoloration and the acceleration of rancidity.

However, problems may arise with ungutted fish during periods of heavy feeding due to belly- burst. The reactions leading to belly-burst are complex and not fully understood. It is known that the strength of the connective tissue is decreased during these periods and that post mortem pH is normally lower in well-fed fish, this also weakens the connective tissue (Figure 6.9). Furthermore, it seems that the type of feed ingested may play an important role in the belly-burst phenomenon.

 

Figure 6.9 pH in winter capelin (o) and summer capelin (·) during storage at +4°C (Gildberg, 1978)

Lean species

In most North European countries, the gutting of lean species is compulsory. It is based on the assumption that the quality of these species suffers if they are not gutted. In the case of cod, it has been shown that omission causes a considerable quality loss and a reduction in the storage life of five or six days. After only two days from catch, discoloration of the belly area is visible and the raw fillet acquires an offensive cabbagey odour. As seen in Figure 6.10, these odours are removed to some extent by boiling.

 

Figure 6.10 Organoleptic quality of raw and boiled fillet, respectively from gutted (o) and ungutted (·) iced cod (Huss, 1976)

These volatile, foul-smelling compounds are mostly found in the gut and surrounding area whereas the amount of volatile acids and bases is relatively low in the fillet itself (Figure 6.11). These chemical parameters are, therefore, not useful for distinguishing between gutted and ungutted fish (Huss and Asenjo, 1976).

 

Figure 6.11 Development of (a) volatile acids in iced, ungutted saithe (Polacchius virens) and (b) volatile bases in iced, ungutted cod (Gadus morhua) (Huss and Asenjo, 1976) 

Similar experiments with other cod-like species show a more differentiated picture. In the case of haddock (Melanogrammus aeglefinus), whiting (Merlangius merlangus, saithe (Pollachius virens) and blue whiting (Micromesistius poutassou), it is observed that ungutted fish stored at 0°C suffer a quality loss compared with gutted fish, but the degree varies as illustrated in Figure 6.12. Some off-odours and off-flavours are detected, but ungutted haddock, whiting and saithe are still acceptable as raw material for frozen fillets after nearly one week on ice (Huss and Asenjo, 1976). Quite different results are obtained with South American hake (Merluccius gayi), where no difference is observed between gutted and ungutted fish (Huss and Asenjo, 1977 b).

 

Figure 6.12 Quality and storage life of gutted and ungutted lean fish stored in ice (Huss and Asenjo, 1976)

6.5 The effect of fish species, fishing ground and season

Influence of handling, size, pH, skin properties

The spoilage rate and shelf life of fish is affected by many parameters and, as stated in section 5, fish spoil at different rates. In general it can be stated that larger fish spoil more slowly than small fish, flat fish keep better than round fish, lean fish keep longer than fatty fish under aerobic storage and bony fish are edible longer than cartilaginous fish (Table 6.6). Several factors probably contribute to these differences and whereas some are clear, many are still on the level of hypotheses.

Table 6.6 Intrinsic factors affecting spoilage rate of fish species stored in ice

Factors affecting spoilage rate

Relative spoilage rate

fast

slow

size

small fish

larger fish

post mortem pH

high pH

low pH

fat content

fatty species

lean species

skin properties

thin skin

thick skin

Rough handling will, as outlined in section 5.2, result in a faster spoilage rate. This is due to the physical damage to the fish, resulting in easy access for enzymes and spoilage bacteria. The surface/volume ratio of larger fish is lower than that of smaller fish, and, as bacteria are found on the outside, this is probably the reason for the longer shelf life of the former. This is true within a species but may not be universally so.

Post mortem pH varies between species but is, as described in section 5.2, higher than in warm- blooded animals. The long rigor period and the corresponding low pH (5.4-5.6) of the very large flatfish, halibut (Hippoglossus hipoglossus), has been offered as an explanation for its relatively long iced storage life (Table 6.7). However, mackerel will often also experience a low pH and this seems to have little effect on shelf life. As can be seen from Table 6.7, fatty fish are in general rejected sensorically long before lean fish. This is mainly due to the appearance of oxidative rancidity.

The skin of the fatty pelagic fish is often very thin, and this may contribute to the faster spoilage rate. This allows enzymes and bacteria to penetrate more quickly. On the contrary, the thick skin of flatfish and the antibacterial compounds found in the slime of these fish may also contribute to the keepability of flatfish. As described earlier, the slime of flat fish contains bacteriolytic enzymes, antibodies and various other antibacterial substances (Hjelmland et al., 1983; Murray and Fletcher, 1976). Although large differences exist in the content of TMAO, this does not seem to affect the shelf life of aerobically-stored fish but rather the chemical spoilage profile of the species.

Table 6.7 Shelf life of various fish species from temperate and tropical waters. Prepared from data published by Lima dos Santos (1981); Poulter et al.(1981); and Gram (1989)  

Species

Fish type

Shelf life (days in ice)

temperate

tropical

Marine species  

2-24

6-35

cod, haddock

lean

9-15

 
whiting

lean

7-9

 
hake

lean

7-15

 
bream

lean/low fat

 

10-31

croaker

lean

 

8-22

snapper

lean

 

10-28

grouper

lean

 

6-28

catfish

lean

 

16-19

pandora

lean

 

8-21

jobfish

lean

 

16-35

spadefish

lean/low fat

 

21-26

batfish

lean

 

21-24

sole, plaice,

flat

7-21

21

flounder

flat

7-18

 
halibut

flat

21-24

 
mackerel1)

high/ low fat

4-19

14-18

summer herring

high fat

2-6

 
winter herring

low fat

7-12

 
sardine

high fat

3-8

9-16

Freshwater species  

9-17

6-40

catfish

lean

12-13

15-27

trout

low fat

9-11

16-24

perch

lean/ low fat

8-17

13-32

tilapia

lean

 

10-27

mullet

lean

 

12-26

carp

lean/ low fat

 

16-21

lungfish

lean/ low fat

 

11-25

Haplochromis

lean

 

6

shad

medium fat

 

25

corvina

medium fat

 

30

bagré

medium fat

 

25

chincuna

fatty

 

40

pacu

fatty

 

40

1) fat content and shelf life subject to seasonal variation.

In general, the slower spoilage of some fish species has been attributed to a slower bacterial growth, and Liston (1980) stated that "different spoilage rates seem to be related at least partly to the rate of increase of bacteria on them".

Influence of water temperature on iced shelf life

Of all the factors affecting shelf life, most interest has focused on the possible difference in iced shelf life between fish caught in warm, tropical waters and fish caught in cold, temperate waters. In the mid- and late sixties it was reported that some tropical fish kept 20-30 days when stored in ice (Disney et al., 1969). This is far longer than for most temperate species and several studies have been conducted assessing the shelf life of tropical species. Comparison of the data is, as pointed out by Lima dos Santos (1981), difficult as no clear definition has been given on a "tropical" fish species and as experiments have been carried out using different sensory and bacteriological analyses.

Several authors have concluded that fish taken from warm waters keep better than fish from temperate waters (Curran and Disney, 1979; Shewan, 1977) whereas Lima dos Santos (1981) concluded that also some temperate water fish species keep extremely well and that the longer shelf lives in general are found in fresh water fish species compared to marine species. However, he also noted that shelf life of more than 3 weeks, which is often observed for fish caught in tropical waters (Table 6.7),never occurs when fish from temperate waters are stored in ice. The iced shelf life of marine fish from temperate waters varies from 2 to 21 days which does not differ significantly from the shelf life of temperate freshwater fish ranging from 9 to 20 days. Contrary to this, fish caught in tropical marine waters keep for 12-35 days when stored in ice and tropical freshwater fish from 6 to 40 days. Although very wide variations occur, tropical fish species often have prolonged shelf lives when stored in ice as shown in Table 6.6. When comparisons are made, data on fatty fish like herring and mackerel should probably be omitted as spoilage is mainly due to oxidation.

Several hypotheses have been launched trying to explain the often prolonged iced spoilage of tropical fish. Some authors have noted an absence in development of TMA and TVN during storage and suggested that the spoilage of tropical fish is not caused by bacteria (Nair et al., 1971). The lack of development of TMA and TVN may be explained by a spoilage dominated by Pseudomonas spp.; however, qualitative bacteriological analyses must be carried out to confirm or reject this suggestion. Low bacterial counts have been claimed in some studies, but often inappropriate media have been used for the examination and too high incubation temperatures ( 30°C) have not allowed the psychrotrophic spoilage bacteria to grow on the agar plates.

Reviewing the existing literature on storage trials of tropical fish species leads to the conclusion that the overall sensory, chemical and bacteriological changes occurring during spoilage of tropical fish species are similar to those described for temperate species.

Psychrotrophic bacteria belonging to Pseudomonas spp. and Shewanella putrefaciens dominate the spoilage flora of iced stored fish. Differences exist, as described in section 5.3, in the spoilage profile depending on the dominating bacterial species. Shewanella spoilage is characterized by TMA and sulphides (H2S) whereas the Pseudomonas spoilage is characterized by absence of these compounds and occurrence of sweet, rotten sulphydryl odours. As this is not typical of temperate, marine fish species which have been widely studied, this may explain the hypothesis that bacteria are not involved in the spoilage process of tropical fish.

Despite the different odour profiles, the level at which the offensive off-odours are detected sensorially is more or less the same. In model systems (sterile fish juice) 108-109 cfu/ml of both types of bacteria is the level at which spoilage is evident.

As outlined in section 5.3, the relatively high postmortem pH is one of the reasons for the relatively short shelf life of fresh fish as compared to, for instance, chill stored beef. It has been suggested that tropical fish species, such as the halibut from temperate waters, reach a very low pH, and that this explains the longer shelf life. However, pH values of 6-7 have been found in the studies of tropical fish species where pH has been measured (Gram, 1989). As the differences in skin properties are believed to contribute to the longer shelf life of flatfish, it has been suggested that this factor explained the extended shelf lives. It is indeed true that fish from warm waters often have very thick skin, but no systematic investigation has been carried out on the skin properties.

As spoilage of fish is caused by bacterial action, most hypotheses dealing with the long iced shelf life of tropical fish species have centred around differences in bacterial flora. Shewan (1977) attributed the long iced shelf lives to the lower number of psychrotrophs on tropical fish. However, in 1977 only a very limited number of studies of the bacterial flora on tropical fish were published. During the last 10- 15 years several investigations have concluded that Gram-negative rod-shaped bacteria (e.g., Pseudomonas, Moraxella and Acinetobacter) dominate on many fish caught in tropical waters (Gram, 1989; Surendram et al., 1989; Acuff et al., 1984). Similarly, Sieburth (1967) concluded that the composition of the bacterial flora in Narragansett Bay did not change during a 2-year survey even though the water temperature fluctuated with 23°C on a year-round basis. Gram (1989) showed that 40-90% of the bacteria found on Nile perch were able to grow at 7°C. The number of psychrotrophic bacteria is within one log unit of the total count, and the level of psychrotrophic organisms is not per se low enough to account for the extended iced storage lives of tropical fish; Jorgensen et al. (1989) showed that a two log difference in number of spoilage bacteria only resulted in a difference of 3 days in the shelf life of iced cod.

As described in section 5, the bacterial flora on temperate water fish species resume growth immediately after the fish have been caught and rarely is a lag phase seen. Contrary to this, Gram (1989) concluded that a bacterial lag phase of 1-2 weeks is seen when tropical fish are stored in ice. Also, the subsequent growth of psychrotrophic bacteria is often slower on iced tropical than on iced temperate water fish. This is in agreement with Liston (1980) who attributed differences in shelf life to differences in bacterial growth rates. Although a large part of the bacteria on tropical fish are capable of growth at chill temperatures, they will (as this has never been necessary) require a period of adaptation (i.e., the lag phase and slow growth phase). Gram (1989) illustrated this by investigating the growth rate at 0°C of fish spoilage bacteria that had either been pre-cultured at 20°C or at 5°C. For some strains, the same bacterial strain would grow more quickly at 0°C if pre-cultured at 5°C than if pre-cultured at 20°C (Table 6.8). Preculturing was done with several sub-culture steps at each temperature. Similarly, Sieburth (1967) showed that although the taxonomic composition of the bacterial flora in Narrangansett Bay did not change with fluctuating temperature, the growth profile of the bacteria fluctuated following the water temperature. However, the adaptation hypothesis does not explain why some tropical fish spoil at rates comparable to temperate water fish.

Table 6.8 Generation times at 0°C for fish spoilage bacteria pre-cultured at high (20°C) or low (5°C) temperatures

Species Origin

Pre-culture temperature (°C)

Subsequent generation time (hours) at 0°C

Aeromonas spp. spoiled chilled trout

5
20

11
20

Pseudomonas spp. iced cod (Denmark)

5
20 

9
14

  spoiled iced sardine (Senegal) 5
20
12
14
Shewanella spp. iced cod (Denmark)

5
20 

8
17

  iced sole (Senegal) 5
20
9
17

It can be concluded that many factors affect shelf life of fish and that differences in the physiology of the bacterial flora are likely to be of major importance.

Off flavours related to fishing ground

Occasionally fish with off-flavours are caught, and in certain localities this is a fairly common phenomenon. Several of these off-flavours can be attributed to their feeding on different compounds or organisms. The planktonic mollusc, Spiratella helicina, gives rise to an off-flavour described as "mineral oil" or "petrol". It is caused by dimthyl-B-propiothetin which is converted to dimethylsulphide in the fish (Connell, 1975). The larvae of Mytilus spp. cause a bitter taste in herring. A very well known off-flavour is the muddy-earthy taint in many freshwater fish. The flavour is mainly caused by two compounds: geosmin (1a, 10ß-dimethyl-9a-decalol) and 2-methylisoborneol, which also are part of the chemical profile of wine with cork flavour. Geosmin, the odour of which is detectable in concentrations of 0.01-0.1 µg/l, is produced by several bacterial taxa, notably the actinomycetes Streptomyces and Actinomyces.

An iodine-like flavour is found in some fish and shrimp species in the marine environment. This is caused by volatile bromophenolic compounds; and it has been suggested that the compounds are formed by marine algae, sponges and Bryozoa and become distributed through the food chain (Anthoni et al., 1990).

Oil taint may be found in the fish flesh in areas of the world where off-shore exploitation of oil is intensive or in areas where large oil spills occur. The fraction of the crude oil that is soluble in water is responsible for the off-flavours. This is caused by the accumulation of various hydrocarbon compounds, where particularly the aromatic compounds are strong flavourants (Martinsen et al., 1992).

Figure 6.13 The situation on a South American hake trawler. The fishermen have spent considerable time and effort gutting the fish, where rapid chilling of whole, ungutted fish would have been more beneficial to quality