L'institutionnalisation du système s'appuie sur deux points principaux:
Cette dernière étape porte sur le rodage, et la pérennisation du système.
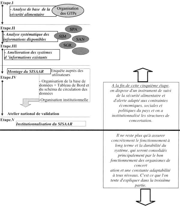
À partir de l'expérience des SISAAR déjà mis en place on peut, très approximativement, estimer ainsi la durée de chaque étape:
Bien entendu, il n'est pas nécessaire d'attendre quatre ans pour que le SISAAR puisse être opérationnel. Dés la première année il doit pouvoir rendre des services concrets (le bulletin très succinct au début, deviendra de plus en plus complet, la Base de données s'étoffera au fur et à mesure, etc.).
Comme susmentionné (Deuxième partie, Chapitre IV, Point 4) le SISAAR doit être rattaché à un Comité national de sécurité alimentaire (CNSA), intégrant au niveau décisionnel des représentants des principales entités techniques responsables de la disponibilité alimentaire nationale, de la stabilité des approvisionnements, de l'accès de tous, à ces approvisionnements et de l'utilisation biologique de ces aliments. Le système requiert aussi une forme décentralisée de ce Comité national, appelé dans le présent manuel Comités provinciaux de sécurité alimentaire (CPSA).
Certains pays ont adopté des systèmes différents d'information concernant la sécurité alimentaire distincts de l'administration nationale, et en général non reliés à un Comité national. Ces systèmes d'information étaient en général organisés par des donateurs, qui en assuraient le contrôle et le financement direct (partiel ou total). De telles structures ne sont évidemment pas viables à long terme, car elles sont le plus souvent disproportionnées par rapport aux ressources du pays, et de plus elles ne sont ni intégrées dans les structures nationales, ni reliées à une Assemblée de responsables nationaux des décisions, en matière de sécurité alimentaire. Elles ne peuvent donc fonctionner que tant que le donateur finance les dépenses et contrôle les activités et les résultats.
Les relations entre le SISAAR et le CNSA doivent fonctionner dans les deux sens. Le SISAAR aide tout d'abord le CNSA dans sa fonction de décideur, en lui fournissant les informations qui lui permettront de prendre des décisions. Il pourra ensuite valoriser à l'échelle nationale le CNSA dans son rôle de diffuseur national des informations sur la sécurité alimentaire. Dans l'autre sens, le CNSA (qui comprend de nombreux ministres ainsi que d'autres décideurs de haut niveau) aide le SISAAR à obtenir en temps voulu les informations nécessaires des pourvoyeurs qui rechigneraient à les lui fournir, et fait pression sur le SISAAR pour qu'il sorte les données et les analyses en temps voulu et en respectant la qualité requise. Le CNSA agit sur le SISAAR comme facilitateur du travail (en évitant les blocages possibles) mais exerce aussi une pression sur lui (en l'obligeant à jouer son rôle d'alerte).
Les relations entre le SISAAR et les Comités provinciaux sont d'un ordre différent. Ces Comités provinciaux sont à la fois pourvoyeurs et récipiendaires des informations. Ils sont à la fois fournisseurs de données quantitatives, qui seront recoupées avec les autres données transmises par les structures officielles et par les GTP, mais aussi qualitatives (évaluation de l'évolution des groupes à risques, estimation de l'arrivée d'une crise éventuelle), qui ne peuvent pas être considérées comme des données statistiques mais comme des indicateurs indirects de l'évolution de la situation. Les Comités provinciaux sont aussi les seuls à pouvoir transmettre régulièrement des données de suivi de l'aide alimentaire sur le terrain. Leurs relations avec le SISAAR doivent donc être très soignées. Dans l'autre sens, le SISAAR valorise le rôle des Comités provinciaux dans la coordination et le suivi des actions liées à la sécurité alimentaire et leur permet de faire entendre la position régionale dans le CNSA.

Au fur et à mesure de l'installation du SISAAR et des Comités provinciaux, il faut se convaincre sérieusement que pour être durable, ce système doit être évolutif: la composition des Comités nationaux et provinciaux doit être remise en cause en fonction des circonstances. Par exemple, en cas de catastrophes, des représentants de l'armée, de la police, des pompiers et de la protection civile doivent généralement être intégrés dans les Comités si leur rôle devient prépondérant.
Les fiches de liaison des Comités provinciaux doivent, bien entendu, être constamment adaptées, tant pour en améliorer la précision, en fonction d'une meilleure approche locale des problèmes, que pour faire varier leur contenu technique en fonction de l'évolution des critères d'alimentation, des problèmes sociaux, ou économiques, des mouvements de populations, etc.
On a présenté dans le manuel la nécessité d'organiser des groupes de travail interdisciplinaires dans chacun des domaines-clefs de la sécurité alimentaire (Deuxième partie, Chapitre I, Point 1.5). Bien entendu, les fonctions originelles de ces GTP, qui doivent être les bases institutionnelles de définition et de montage du SISAAR, devront évoluer au fur et à mesure du rodage du système. Il faut à tout prix éviter la routine de ces structures, pour éviter la désaffection progressive des participants et l'abandon progressif des tâches à des cadres de grade inférieur, chargé «d'occuper» les places aux réunions des GTP.
Pour éviter ces risques chaque GTP doit développer une dynamique propre, prendre des responsabilités importantes dans la préparation des articles destinés à la presse écrite et aux médias, et garantir à ses membres un intérêt renouvelé, tant technique que personnel. Il faut donc que la participation active au GTP soit valorisée:
Dès les étapes de montage du système, il faut que chacun soit conscient de sa place dans le système, de la nécessité de sa présence, et des possibilités d'évolution du système en fonction tant de l'évolution des problèmes nationaux de sécurité alimentaire, que de l'évolution institutionnelle nationale.
Normalement, il ne devrait pas être nécessaire de formaliser les échanges d'information et la circulation des données dans des protocoles, mais l'expérience prouve que si les contacts personnels sont indispensables pour obtenir les informations dans la période de montage du système, dans une vision à plus long terme il est souvent indispensable d'établir des protocoles d'accord plus formels.
Si les entités pourvoyeuses d'informations dépendent d'un Ministère, d'un projet, ou d'une ONG représentés au CNSA, il peut être utile, et efficace, de faire parapher ce document par le ministre, ou le responsable de cette entité membre du CNSA.
L'opportunité de donner un caractère juridique à ces protocoles doit être discutée sérieusement dans chaque pays voulant monter un SISAAR. Il ne faut pas oublier cependant que le contenu de la base de données et le système de gestion du SISAAR devront obligatoirement évoluer dans le temps pour s'adapter constamment à la conjoncture et que par conséquent, les protocoles devront aussi, être amendés périodiquement.
Le montage primaire de la base de données et du Tableau de bord doit se faire à partir de la liste des indicateurs et des modalités de gestion approuvés au cours de l'atelier national de validation. Le bulletin servant de dialogue entre le SISAAR, les pourvoyeurs de données et les récipiendaires de l'information (ou «clients» - qui peuvent être d'ailleurs aussi des pourvoyeurs, comme susindiqué), doit inclure un article expliquant à tous l'état du système. Cet article, qui pourrait s'intituler «Nouvelles du SISAAR», doit donner les informations sur le travail du système dans son ensemble: réunions du CNSA, travaux des GTP, cours de formation du personnel, nouvelles des observatoires régionaux, etc. Il doit aussi donner des indications sur tous les changements faits ou les adaptations apportées au système, pendant la période couverte par le bulletin.
Toute proposition de changement dans la liste des indicateurs, et des autres informations de la base de données et du Tableau de bord doit être discutée par le GTP correspondant. Une fois établie la nécessité d'un changement, il sera nécessaire de clarifier les conséquences de ce changement sur les fiches des Comités provinciaux, la périodicité de ces données, les protocoles d'accord, etc. Une note technique claire, expliquant les tenants et les aboutissants de ce changement, devra être portée au CNSA pour avis. C'est le CNSA, agissant à titre de Conseil d'administration pour le SISAAR, qui décidera finalement de tout changement. Les changements approuvés devront être mis en uvre, à la fois pour l'obtention régulière des nouvelles informations selon la périodicité décidée, mais aussi pour chercher à monter un historique de cette donnée, si cela est possible. Bien entendu une petite note dans le bulletin expliquera à tous, ce changement.
Il peut également être nécessaire, à moment donné, de remanier la composition des GTP, de changer certains protocoles d'accords, de modifier la présentation ou la périodicité du bulletin, de mettre en place une campagne de presse spécifique ou une formation ciblée. Dans ces cas, aussi, le secrétariat du CNSA devra préparer une brève note explicative, en collaboration avec les chefs de file des GTP correspondant, qui sera présentée pour approbation au CNSA.
Comme susmentionné, toute modification du système (et il doit y en avoir, car un tel système doit obligatoirement évoluer) doit être bien analysée et la décision finale relève toujours du CNSA. La mise en uvre de ces changements sera bien entendu de la compétence du secrétariat du CNSA, en collaboration avec tous les rouages concernés du système (Comités provinciaux, GTP, etc.).
Les SIG sont des outils informatiques de stockage, d'analyse et de publication performante qui permettent d'intégrer des données spatiales/géographiques à des informations non-géographiques correspondantes, stockées au niveau de bases de données. Les données géographiques sont généralement organisées en «strates» (ou «couches») chacune représentant différentes caractéristiques physiques (topographie, routes, etc.), socioéconomiques (démographie, revenus, etc.), agricoles, etc. de la zone géographique considérée. La possibilité de superposer plusieurs couches et d'en extraire de nouvelles informations par analyse croisée est l'une des caractéristiques des SIG. Bien entendu la qualité des résultats générés par les SIG dépend de la qualité des données de base fournies, et des capacités d'analyse des opérateurs.

Cet outil informatique est devenu très populaire ces dernières années. Il s'est révélé très utile dans la gestion, l'analyse et la représentation des informations territoriales. Cependant son application régulière par les services nationaux des pays en voie de développement est encore restreinte, du fait du manque de moyens techniques et de formations adaptées. D'autre part, il s'appuie obligatoirement sur une base de données cohérente et suffisamment fiable pour que la visualisation spatiale de ces données soit un avantage supplémentaire dans les prises de décision.
Pour utiliser de manière efficace un SIG dans le cadre du SISAAR, il est nécessaire:
Le SICIAV est un système mondial d'information sur la vulnérabilité et la sécurité alimentaire1 qui insiste sur la nécessité de cartographier l'insécurité alimentaire et la vulnérabilité pour permettre une meilleure compréhension de leur évolution et une meilleure analyse des différents facteurs impliqués. La mise en place de ce système mondial répond à la demande des participants au Sommet mondial de l'alimentation (novembre 1996) de permettre des interventions concrètes (donc bien documentées) pour assurer la diminution du nombre des mal nourris de moitié d'ici 2015. Le SICIAV insiste donc sur la cartographie de l'évolution de ces phénomènes.
Il a donc été demandé à la FAO d'étudier, avec les autres membres impliqués dans ce travail (FIDA, UNICEF, HCR, GTZ, PNUD, USAID, etc.), de développer des mécanismes simples pour que cette cartographie puisse être effective, et surtout permette une comparaison au niveau mondial. Le SMIAR2 possède déjà un système de logiciels efficaces, et développe actuellement un système de «cartes en ligne» pour la diffusion des informations sur Internet.
Le Centre mondial d'information agricole (WAICENT) de la FAO a mis au point un Système de cartographie des principaux indicateurs (SCPI / KIMS) qui a été conçu aux fins du partage des données de cartographie des principaux indicateurs et de recherche documentaire. Le SCPI est un instrument destiné aux partenaires nationaux et internationaux du SICIAV pour la présentation et la cartographie des principaux indicateurs de l'insécurité alimentaire et de la vulnérabilité. Il permet l'affichage et la diffusion de cartes, de graphiques, de tableurs, de métadonnées, et de liens entre les indicateurs d'insécurité alimentaire, la vulnérabilité, et d'autres données pouvant présenter un intérêt pour la sécurité alimentaire des populations3.
Le VAM, comme le FIEWS, dispose aussi d'un logiciel spécifique, avec lesquels les logiciels utilisés par les SISAAR devraient être compatibles pour éviter des doubles entrées de données.
Comme susmentionné (Deuxième partie, Chapitre IV, Point 4.1), les rôles principaux du secrétariat du CNSA sont les suivants :
Le secrétariat du CNSA doit toujours se comporter comme l'organe exécutif du CNSA. Bien entendu le nombre de cadres de ce secrétariat est très restreint (deux ou trois personnes), mais il peut s'appuyer sur ses relais au niveau national (les GTP) et au niveau régional (les Comités - ou observatoires - régionaux).
Au fur et à mesure de l'évolution du système SISAAR dans le temps, le rôle précis du secrétariat du CNSA et ses relations avec les différents intervenants du système devront se préciser. Le risque à long terme, déjà mentionné dans ce manuel, est que le secrétariat du CNSA (et donc le SISAAR qui en est l'un des éléments) s'éloigne de ses responsabilités primaires, soit parce que ses membres se comportent en «chefs de l'information» (et oublient qu'ils ne sont qu'un rouage du système, tant vis-à-vis des pourvoyeurs d'information que du CNSA) soit, au contraire parce que l'une des entités administratives (ou un donateur) en prend le contrôle. Il ne faut jamais oublier que l'information sera la clef du développement futur et que certains poussés par une ambition, politique, personnelle ou autre, chercheront forcément, à l'intérieur ou à l'extérieur du secrétariat, de la contrôler.
Le CNSA, en tant que Comité interdisciplinaire d'échange pour la prise de décision, devra veiller à diriger, contrôler et appuyer son secrétariat, sans cela le système risque de devenir rapidement explosif.
A une époque ou l'information est omniprésente, ou les technologies de traitement et de diffusion sont de plus en plus nombreuses, mais aussi de plus en plus simples à utiliser, les activités d'information et de communication sur la sécurité alimentaire doivent bien sûr utiliser le maximum de ces moyens, tout en s'assurant que le message sera bien compris et utile aux auditeurs. Il ne faut pas oublier que les moyens de communication plus traditionnels (affichage, radio rurale, réunions publiques, etc.) restent un système important de diffusion des informations dans les sociétés traditionnelles. La «place du marché» est encore souvent un lieu privilégié d'échange d'informations, et les politiques l'ont bien compris.
Dans les projets en cours dans les pays en développement quatre types de supports sont principalement utilisés :
Il existe cependant bien d'autres moyens utilisés par les SISAAR:
Dans ce dédale de moyens, le secrétariat du CNSA doit se poser clairement les questions suivantes:
Il ne faut pas non plus oublier, que si ces questions ont été posées et provisoirement résolues au moment de l'atelier national de validation du SISAAR, le problème devra être reposé et reposé régulièrement au secrétariat du CNSA afin de permettre au système de constamment s'adapter pour répondre de plus près aux besoins.
Il faut absolument que le CNSA se sente le «chef» du SISAAR, et que le SISAAR comprenne qu'il est un instrument du CNSA, même si son rôle est fondamental. Il faut régulièrement affirmer, et réaffirmer ce principe.
Le CNSA doit donc à intervalles réguliers (deux fois par an?) mettre le contrôle du SISAAR à son ordre du jour et examiner les points suivants:
Ce contrôle doit se terminer par une synthèse claire des décisions prises par le CNSA et des instructions données au SISAAR pour la période à venir.
Il faut éviter à tout prix que le SISAAR reçoive des ordres, ou subisse des influences, d'organismes ou de personnes en dehors du CNSA, mais il faut aussi, comme susmentionné, que le SISAAR reste un instrument d'exécution des ordres du CNSA et ne prenne pas d'initiatives propres, si ce n'est celles qui seront mises en discussion au CNSA et soumises à sa décision. L'un ou l'autre des membres du CNSA ne devrait pas individuellement pouvoir influer sur le système d'information. Une transparence complète des informations utilisées par le SISAAR, et de leur traitement, reste la garantie de l'efficacité et de la pérennité du système.
Le Mozambique représente un cas intéressant d'évolution rapide d'un pays pauvre (sortant d'une situation de crise), vers un objectif de développement durable. Ces changements ont obligé les instances nationales à rechercher la mise au point d'un système d'information sur la sécurité alimentaire adapté à cette situation particulière. Progressivement, les objectifs de ce système doivent passer d'un besoin d'information visant à cibler les aides d'urgence, à une nécessité d'appui à la commercialisation des produits alimentaires et à la recherche d'une nouvelle politique de sécurité alimentaire dans un contexte de développement des marchés.
Malgré le changement d'objectif général, la prévision des crises alimentaires éventuelles reste un domaine prioritaire, particulièrement en vue de la fréquence des catastrophes naturelles dans ce pays (inondations, sécheresses, etc.). Malheureusement, la quantité et la qualité des informations disponibles dans les domaines de la sécurité alimentaire restent assez pauvres, mais tant au niveau provincial que national, dans le domaines public, privé ou associatif, on a constaté une volonté de collaborer à la mise en place d'un réseau de systèmes d'informations sur la sécurité alimentaire et la nutrition. La FAO et la Commission des Communautés européennes ont donc aidé le pays à mettre en place un réseau de systèmes d'informations spécifiques, présenté ci-après.

Circulation des informations pour la sécurité alimentaire selon différents objectifs
Ce schéma montre à priori qu'une grande partie de l'analyse des donnés se fait, au Mozambique, au niveau des provinces (alors que dans le système SISAAR traditionnel le travail est davantage réparti entre les Comités provinciaux et les GTP). D'autre part, les groupes de travail s'intéressent à des aspects moins centrés exclusivement sur la sécurité alimentaire et les politiques de développement.
Les raisons de l'organisation d'un tel système semblent être les suivantes:

1 Voir détails dans la Troisième partie du manuel, Chapitre 4.
2 Voir détails dans la Troisième partie du manuel, Chapitre 4.
3 Voir détails sur le site web du SICIAV.
4 Voir Troisième partie, Chapitre 4.
5 Voir Troisième partie, Chapitre 5.