Page précédente Table des matières Page suivante


Les routes d'exploitation forestière en régions tropicales - I

JEAN LE RAY

JEAN LE RAY, Conservateur des eaux et forêts, Centre technique forestier tropical, Nogent-sur-Marne (France).

I - Caractéristiques générales, routes en sol compacté et étude du tracé

Introduction

DANS LA plupart des forêts situées en zone tropicale, le problème du transport des bois se pose en des termes très différents de celui qui caractérise les forêts tempérées. A l'opposé des forêts en zone tempérée, il est très rare que les forêts tropicales aient déjà fait l'objet d'un aménagement raisonné. Faute d'avoir disposé des moyens matériels et du temps nécessaire, la plupart des pays tropicaux à l'heure actuelle n'ont pas encore pu doter leurs forêts des réseaux de routes ou de voies ferrées partout où le besoin s'en fait sentir. Cependant, les besoins de l'ensemble du monde en produits forestiers ne peuvent être satisfaits que grâce à une mise en exploitation de plus en plus large de la grande forêt tropicale dans les divers pays.

L'utilisation des bois tropicaux n'a pu se développer rapidement depuis ces dernières décennies que grâce à deux conditions. D'une part, les études effectuées sur les propriétés des bois ont permis de les employer en fonction de leurs caractéristiques particulières. Ainsi certains bois tropicaux comme l'okoumé, Aucoumea klaineana, en provenance de l'Ouest africain (Gabon, Guinée espagnole, Congo), les Shorea sp. (seraya à Bornéo, meranti au Sarawak, lauan aux Philippines), en provenance de l'Asie du Sud-Est sont actuellement très recherchés et constituent des matériaux de choix pour la fabrication du contre-plaqué.

D'autre part, les méthodes d'exploitation forestière ont permis l'exploitation économique de tels bois malgré des conditions naturelles défavorables. Des différentes phases de l'exploitation qui permettent d'amener le bois depuis l'emplacement même où l'arbre a crû jusqu'au parc à grumes de l'usine ou jusqu'au port d'exportation, c'est la phase du transport qui correspond aux difficultés les plus importantes et par conséquent les plus coûteuses à surmonter.

LES VOIES DE TRANSPORT

Suivant les cas et les possibilités locales, les exploitants ont utilisé et utilisent actuellement le transport par voie d'eau, par voie ferrée étroite particulière, par route forestière, par voie ferrée publique. Chacun de ces modes de transport a ses sujétions particulières. Nous allons les examiner en quelques mots pour mieux préciser leur rôle respectif.

Dans chaque pays, c'est autour de la voie d'eau que l'exploitation forestière s'est implantée à l'origine. Rivières et lagunes permettent un transport lent, certes, mais très bon marché sur de longues distances, qu'il s'agisse de flottage de grumes ou de transport à l'aide de barges ou d'allèges. La voie ferrée publique constitue pour la forêt qu'elle traverse un moyen de transport à longue distance très rapide, sur et relativement bon marché. Malheureusement, après avoir épuisé les zones immédiatement voisines des rivières et des lignes de chemins de fer, les exploitants doivent aller abattre les arbres situés de plus en plus loin de ces axes de transport et transporter les grumes jusqu'à la berge ou à la gare la plus proche. Deux solutions sont utilisées sur les longues distances (plusieurs dizaines de kilomètres): la voie ferrée étroite et la route forestière; l'une et l'autre sont construites aux frais des seuls exploitants usagers et affectées au seul transport des bois.

Vers les années 1920-25, la voie étroite s'est peu à peu généralisée sur la plupart des chantiers forestiers d'abord avec des locomotives à vapeur puis avec des locotracteurs à moteur Diesel. On a longtemps cru que les difficultés dues au climat très pluvieux et au poids des billes ne permettraient pas la construction et surtout l'utilisation de routes par des camions lourds. Les premiers résultats obtenus en matière de construction de route en terre compactée, à la suite des premiers travaux de Proctor en Californie (Etats-Unis), ont montré tout le parti que l'on pouvait tirer de cette nouvelle technique pour la construction des routes en l'absence de matériaux durs.

Ces routes en terre compactée ont permis l'implantation rapide au sein de la forêt tropicale d'un réseau routier très ramifié. C'est ainsi que l'ouverture à l'exploitation des forêts éloignées des rivières ou des voies ferrées est devenue une réalité et que la richesse potentielle de forêts tropicales immenses peut être mobilisée par l'activité des exploitants. Dans l'état actuel de la technique, la comparaison entre la voie étroite, dite voie de 60, et la route tourne presque toujours à l'avantage de la route.

Du point de vue du coût de la construction, la réalisation de la seule plate-forme pour une voie de 60 dans un terrain peu accidenté est moins onéreuse que la réalisation d'une route pour camions forestiers. Lorsque la forêt a un sol accidenté, la route qui accepte des déclivités pouvant atteindre couramment 6 à 8 % exige moins de travaux onéreux que la voie de 60 qui ne peut dépasser pente de 3 à 3,5 %. L'équipement d'une voie en rail et installations fixes correspond à un poids de 20 à 30 tonnes au kilomètre et coûte sensiblement le même prix que le coût de la construction même, tandis que la finition d'une route n'exige que des travaux de drainage et de couche de roulement relativement peu onéreux. Du point de vue de l'entretien, une voie étroite exige plus de main-d'œuvre, deux ô trois fois plus au kilomètre qu'une route. On dispose actuellement d'engins spécialisés qui permettent un entretien mécanique exigeant très peu de main-d'œuvre.

-Les irais proportionnels de transport proprement dits sont nettement moins chers sur voie de 60 que sur route forestière. Pour de longues distances de transport, la lenteur des trains, soit 10 à 15 km/h, est un inconvénient par rapport aux vitesses moyennes permises par les camions lourds, soit 40 à 50 km/h. Une voie ferrée forestière peut assurer une cadence de transport très régulière et pratiquement indépendante des chutes de pluies tandis que les transports routiers doivent être arrêtés par les chutes de pluies.

En résumé, l'évacuation par voie ferrée forestière peut se révéler une solution adaptée au cas très particulier d'un terrain peu accidenté, sous un climat particulièrement pluvieux dans une forêt très riche et pour une exploitation prolongée sur la même concession, mais, en toute circonstance, on peut à coup sûr conseiller qu'un réseau de routes sera la solution la plus économique.

La construction de routes forestières doit être poursuivie clans un souci permanent d'économie, en raison des difficultés du terrain forestier et du trafic toujours réduit et temporaire que de telles routes doivent supporter. En particulier, il est toujours exclu que ces routes reçoivent un revêtement protecteur à base de bitume ou de goudron qui constituerait une dépense non rentable. Aussi, la réalisation de telles routes ne peut être faite d'après les méthodes de tracé et de construction utilisées pour les routes publiques permanentes:, es méthodes conduiraient à un coût de réalisation trop élevé. On ne saurait en conclure, à l'inverse, que la construction de routes forestières doive éviter de suivre toute règle pour être laissée à l'initiative d'opérateurs non compétents. Les solutions adaptées au cas des routes forestières exigent de la part du forestier une habileté particulière et des connaissances précises. Le succès d'une entreprise d'exploitation dépend pour une large part du coût de construction et de l'état du réseau routier d'évacuation des bois.

La présente étude, basée sur une expérience acquise dans les forêts de l'Ouest africain, s'efforce de rendre compte des résultats qui peuvent être obtenus au meilleur coût. Elle comprend cinq sections:

1. Les routes forestières, leur rôle, leur profil en long et en travers.
2. Principes de construction des routes en terre comparée, propriétés des sols et constitution de la chaussée.
3. Etude du tracé.
4. Travaux de construction: déforestage, terrassement, compactage, nivellement, drainage, entretien.
5. Problèmes du choix et de l'entretien du matériel.

1. Caractéristiques générales des routes forestières

RÔLE DES ROUTES FORESTIÈRES

Contrairement aux routes d'intérêt public, les routes forestières :répondent à des besoins :limités. Le rôle spécialisé des routes forestières leur confère des caractères originaux: trafic réduit, trafic à sens privilégié, trafic de ramassage, trafic de camions longs et lourds.

1. Une route forestière ne subit en général qu'un trafic relativement réduit, limité à l'evavuation des produits forestiers et aux activités annexes. Ces transports peuvent être temporaires dans Le cas de forêts :non aménagées comme le sont encore la plupart des forêts tropicales, ou saisonniers dans le cas des forêts aménagées. Le forestier, qu'il soit gérant de la forêt ou exploitant :forestier, se doit d'amortir le coût de la construction sur le volume de bois récolté dans la zone desservie. Ce volume est toujours limité à la fois par la possibilité forestière et par les impératifs commerciaux du moment. Le souci de réaliser les routes forestières aux moindres frais fait aux constructeurs une obligation absolue de trouver une solution qui soit un compromis judicieux entre les conditions naturelles de terrain et les exigences du trafic particulier envisagé. D'un côté, construire une route aux possibilités insuffisantes empêche l'exploitant de transporter les bois comme prévu; de l'autre, toute construction de routes trop onéreuse ne pourra être amortie par la production forestière de la forêt que cette route dessert. Les travaux d'étude et de construction des routes forestières doivent être conçus et réalisés dans un souci permanent d'économie relative.

2. Les transports, en quasi-totalité, sont effectués dans un sens privilégié allant, de la forêt vers les lieux d'utilisation ou de redistribution. L'évacuation des bois tend à les diriger vers les points de rupture de charge ou les usines. Les points de rupture de charge sont situés soit au voisinage d'un embarcadère, d'une voie d'eau (rivière, fleuve ou lagune), soit au voisinage d'un carrefour sur une route publique à plus grand trafic ou d'une gare, sur une voie ferrée publique. Les usines utilisant les bois (scieries notamment) constituent des points de convergence des bois. Aussi le profil en long d'une route forestière comme d'une voie ferrée forestière peut-il et, même, doit-il avoir des caractéristiques quelque peu différentes dans les deux sens. Les véhicules remontant à vide vers la forêt peuvent accepter des déclivités supérieures à celles qu'ils gravissent lorsqu'ils circulent charges.

3. Le trafic forestier comprend essentiellement des voitures légères de liaison, de type tourisme et des véhicules de transport de grumes, longs et lourds. :Les voitures de liaison sont des voitures légères de type tourisme ordinaire, de type rural ou de type militaire. Elles servent au déplacement du personnel cadres ou exécutants. Les jeeps, les pick-up, les camionnettes ou commerciales dérivées des voitures de tourisme sont les plus appréciés.

Ces voitures passent partout où passeront les camions grumiers. Ce sont les camions de transport des grumes qui déterminent en fait les caractéristiques géométriques des routes. Ce sont des véhicules lourds et lents composés le plus souvent d'un tracteur à un ou deux essieux arrière tirant une remorque spéciale à flèche ou semi-remorque équipée le plus souvent d'un essieu, quelquefois de deux essieux porteurs. Un modèle courant est un tracteur à moteur de 150 ch avec semi-remorque qui constitue un ensemble d'une longueur de 15 m entre essieux extrêmes et d'un encombrement hors-tout de 20 m de long environ avec un poids total roulant en charge de 30 à 35 t. Ces véhicules articulés doivent pouvoir s'inscrire dans les courbes, gravir les rampes en conservant une vitesse acceptable et descendre les déclivités en toute sécurité. Les pentes admissibles doivent rester faibles, même au prix d'un certain allongement du parcours.

4. Le nombre de passages en un point donné de la route principale desservant un chantier d'exploitation reste toujours limité même aux périodes d'activité intense. Le chiffre de 20 véhicules par jour au total dans les deux sens peut être considéré comme un maximum moyen. Dans quelques cas exceptionnels, on pourra enregistrer jusqu'à 30 passages. La circulation reste donc toujours telle que les mouvements des véhicules sont indépendants les uns des autres; aucun problème de débit de circulation n'est à envisager. Tout au plus, les règles de sécurité imposeront-elles quelques aménagements aux points singuliers que sont les courbes en croupes, les abords des ponts, les sommets de côte... D'une façon générale, on ne construira que des routes à une seule voie de circulation.

5. Une route forestière conserve toujours un rôle de ramassage des bois produits et récoltés sur toute la surface boisée. Elle est toujours dans une large mesure une route de desserte destinée à s'approcher le plus près possible des parcelles exploitées pour réduire la longueur du débardage. On ne recherchera donc pas systématiquement et à tout prix le trajet le plus court. Dans la mesure où un trajet plus court ne peut être réalisé qu'au prix de dépenses de construction plus élevées, il doit être écarté au profit d'un tracé plus long mais moins onéreux.

Les cinq caractères originaux que nous avons examinés justifient les règles suivantes particulières aux routes forestières:

1. Toute dépense visant à une construction durable et onéreuse doit être écartée au profit d'une solution temporaire mais économique adaptée au but recherché.

2. Les déclivités maximums admises dans le sens montant vers la forêt (retour à vide) peuvent être notablement supérieures aux déclivités admises dans le sens descendant de la forêt (aller en charge). On pourra, comme on le verra plus loin, admettre 4 et 8 % ou encore 6 et 12 %, suivant le terrain.

3. Les pentes de la chaussée choisies pour les rampes et les déclivités doivent être aussi faibles que possible en raison de la prédominance dans le trafic des lourds camions grumiers.

4. Une route forestière ne comporte en général qu'une seule voie de circulation avec des aménagements aux points singuliers: courbes et sommets de côte.

5. Un trajet largement sinueux et relativement plus long envisagé dans l'ensemble de l'exploitation constitue une économie par rapport au trajet plus direct et plus court.

COMPOSITION DU RÉSEAU D'EXPLOITATION

Dans l'évacuation des bois exploités, chaque route ou chaque tronçon de route forestière n'a pas exactement le même rôle et n'est pas soumis à un trafic uniforme. Les caractéristiques de chaque élément de route dépendent de son rôle à l'intérieur du réseau routier desservant une forêt à aménager ou, ce qui revient au même objet, une concession forestière en cours d'exploitation.

L'exploitation a pour objectif d'acheminer tous les bois de la forêt depuis la souche jusqu'à un même point ou un même débouché souvent unique pour l'ensemble de la forêt. L'opération de débardage par traînage rassemble les grumes voisines sur un parc accessible aux camions routiers. Chaque parc est relié par une antenne routière qui acheminera les bois vers des routes de plus en plus importantes et circulées jusqu'au point de débouchés sur la route publique, la voie d'eau ou la ligne de chemin de fer permanente. Chacun des tronçons successifs supporte par conséquent un trafic qui croît à mesure que l'on s'éloigne des lieux d'abattage pour se rapprocher de la route publique, de la voie ferrée ou d'une voie d'eau.

Un exemple permet de préciser le rôle de chaque tronçon de route d'après le volume de bois transitant en ce point et d'après la durée de service. Nous supposons, pour simplifier, que la forêt à exploiter et le terrain peuvent être considérés comme homogènes et que l'état du marché des bois permet d'exploiter en moyenne 10 m³/ha. Si la distance maximum de débardage est de 1 km, chaque point de la route recevra les bois situés à 1000 m de part et d'autre; ainsi chaque tronçon de 1 km de route desservira une parcelle de 2 km × 1 km, soit 200 ha, d'où l'on extraira 10 × 200 soit 2 000 m³. Chaque fois que la route s'avance de 1 km, le volume transitant sur chaque tronçon s'accroît de 2 000 m³. En d'autres termes, sur une section donnée de 1 km, on fera circuler autant de fois 2 000 m³ qu'il y a ou qu'il y aura de kilomètres de route situés en amont. En chaque point, la durée du roulage peut alors varier dans de larges limites allant de une ou deux semaines, pour le parc de chargement le plus éloigné, à plusieurs mois au bout de quelques kilomètres. A chaque confluent de routes, le trafic forestier s'accroît de tout l'apport venant par la voie confluents et subit un roulage dont l'importance est liée à son emplacement relatif; cette constatation est un fait d'expérience élémentaire, mais nous avons simplement voulu faire comprendre par là que, si les routes d'exploitation forestière peuvent être établies sommairement à leur extrémité, il est absolument indispensable d'apporter quelque soin particulier au tracé et à la construction dès que la route est destinée à servir pendant plusieurs mois.

On peut classer les routes d'exploitation forestière en trois catégories: routes principales, routes secondaires et routes d'accès (fig. 1).

FIGURE 1. - Schéma d'un réseaux de routes forestières aboutissant à une rivière permettant flottage et chalandage. La largeur du trait indique le rôle de la route.

Route principale

La route principale dessert toute une concession dont elle draine les bois jusqu'au point de rupture de charge sur la voie publique. Toute l'activité de l'exploitation s'organise en fonction de cette route qui constitue l'épine dorsale de la concession: le volume de bois à évacuer peut varier de quelques dizaines à plusieurs centaines de milliers de mètres cubes. Cette voie doit rester en bon état pendant plusieurs années, parfois même une vingtaine, et être praticable en permanence tout au long de l'année, saison des pluies comprise. Sa longueur est essentiellement fonction de la situation géographique et de l'importance des chantiers forestiers: elle peut atteindre progressivement 50 km et plus. C'est évidemment pour cette dorsale que se pose, de la façon la plus délicate et la plus complète, le problème du tracé et de la construction. Il arrive souvent que cette route soit par la suite incorporée au réseau public général. Cette voie principale doit pratiquement être implantée dans son ensemble avant le commencement de l'abattage.

Routes secondaires

Sur cette route viennent déboucher les routes secondaires donnant accès au chantier en cours d'exploitation, dont le rôle consiste à évacuer le volume exploité au cours d'une ou deux campagnes seulement: leur durée de service, en ce qui concerne le transport des grumes, peut correspondre en général à plusieurs mois, deux ans au plus. Ces routes secondaires peuvent conserver exceptionnellement une activité pour la circulation générale de l'exploitation (transport des matériaux, besoins des campements, etc.). Ainsi qu'on le verra plus loin, on devrait au début de chaque campagne d'activité disposer d'au moins une route secondaire d'avance de façon que la partie extérieure du sol puisse se tasser pendant une saison de pluies au minimum.

Pistes d'accès aux parcs

Les pistes d'accès aux pares sont de courts tronçons qui permettent aux camions grumiers quittant les routes secondaires d'atteindre les parcs de chargement. Leur longueur toujours faible varie de quelques centaines de mètres à moins d'un kilomètre. Il arrive souvent que les différents parcs soient directement, installes le long de la route secondaire. Si l'on épuise ht zone de forêt desservie par le parc de chargement en une seule fois, la piste d'accès n'est utilisée que pendant quelques semaines (une à trois) au plus, puis est abandonnée.

En résumé, la composition d'un réseau routier d'exploitation conduit à formuler la règle suivante:

1. La route principale doit être étudiée, construite et entretenue avec le maximum de moyens
2. Les routes secondaires seront réalisées pour une durée réduite et ne demandent pas d'entretien.
3. Les routes d'accès ne demandent que des travaux limités pratiquement au déforestage.

PLAN D'ÉTUDE D'UNE ROUTE

Toute route est définie par le tracé de son axe en plan, le profil en long selon l'axe et par ses profils en travers. Ces caractéristiques sont précisées sur les documents types suivants: un plan précisant le tracé de l'axe; un profil en long selon l'axe; un profil en travers normal ou profil type précisant les largeurs de base; plusieurs profils en travers dans les cas particuliers des courbes, des remblais, des déblais, etc.

Il est exceptionnel qu'un projet de routes forestières impose la préparation et la rédaction de tels documents types. Les conditions d'exécution des travaux et l'importance du trafic forestier sont telles qu'on peut se contenter presque toujours d'un plan de l'axe et des quelques profils en travers types correspondant aux principales situations: par exemple, route à flanc de coteau, route en remblai, route en déblai, route en courbe sur une croupe, etc...

Nous pouvons préciser dès maintenant les facteurs déterminants dans l'étude d'une route forestière, c'est-à-dire d'une route établie en définitive en vue de l'exploitation:

1. Le tracé en plan de l'axe de la route dépend surtout de la configuration générale du terrain de la forêt à desservir.

2. Le profil en long doit être choisi en fonction des grumiers de transport, véhicules longs et lourds.

3. Le profil en travers normal ou profil type doit assurer un seul courant de véhicules avec des croisements à très faibles vitesses.

4. Les profils en travers particuliers dépendent étroitement des conditions locales du terrain ou du sol.

FIGURE 2. - Profil travers «normal».

PROFIL EN TRAVERS NORMAL

Pour faciliter l'étude ultérieure nous commençons par l'examen du profil en travers type, de façon à définir ainsi les différents éléments d'une route (fig. 2).

Dans tout profil en travers on distingue:

a) la chaussée affectée à la circulation des véhicules;
b) la plate-forme, entre fossés ou crêtes des talus de remblai, comprenant la chaussée et les accotements;
c) l'assiette, entre limites extrêmes des terrassements;
d) l'emprise, qui correspond aux limites du terrain affecté à la route.

La notion d'emprise ne se comprend que dans les zones où les droits de propriété ou d'occupation particulière sont définis de façon précise sur le terrain. L'assiette correspond à la largeur des dessouchages dans la traversée des zones boisées. La plate-forme est assez large pour permettre les croisements ou dépassements de véhicules sur les routes à une seule voie. La chaussée d'une route forestière est presque toujours à une seule voie en raison du nombre relativement petit des véhicules qui doivent y circuler chaque jour.

Tout profil en travers doit répondre à trois conditions essentielles: assurer l'assainissement de la chaussée; conserver la stabilité des véhicules; permettre les croisements et dépassements.

Profil de la chaussée

Il affecte presque toujours une forme en bombée vers le haut qui contribue à la stabilité de la chaussée et favorise l'écoulement vers l'extérieur des eaux de pluies tombant sur la chaussée.

Pratiquement, le prix des revêtements superficiels imperméables à base de goudron, de bitume ou de ciment est trop élevé pour que leur emploi sur les routes forestières soit rentable. Aussi ces chaussées sont-elles réalisées en sol stabilisé dans tous les cas. On verra dans la partie II de cette étude qu'il est indispensable d'éviter les stagnations, les infiltrations et bien entendu le ravinement Le choix de la pente transversale du profil résulte d'un compromis entre la pente assez forte pour assurer l'évacuation rapide des eaux et la pente assez faible pour éviter tout ravinement. Il est souhaitable d'obtenir l'écoulement des eaux de pluies sous la forme d'une lame d'eau d'épaisseur sensiblement constante de façon à réduire au minimum les infiltrations et le ravinement. Toute stagnation en flaques accroît les infiltrations et favorise un écoulement localisé en filets d'eau et non en lame d'eau uniforme. Ces filets d'eau tendent à se réunir et provoquent des ravinements en réseau connu sous le nom de «pattes d'araignées».

L'assainissement superficiel de la chaussée est d'autant plus facile à réaliser que celle-ci est moins large. La pente transversale la plus efficace est de 3 à 5 %. Pour éviter les stagnations ou les accumulations, il est souhaitable de réaliser une pente transversale croissante de l'axe vers l'extérieur. On peut encore définir la forme de la chaussée par le bombement qui est égal au quotient flèche/largeur. Le tableau 1 donne les hauteurs de flèche sur l'axe en fonction de la pente transversale et de la largeur de la chaussée.

TABLEAU 1. - VALEURS DE LA FLÈCHE SUR L'AXE EN FONCTION DE LA PENTE TRANSVERSALE ET DE LA LARGEUR DE LA CHAUSSÉE

Largeur de la chaussée

Pente transversale

3 %

5 %

mètres

 

 

3,50

0,05

0,09

4,00

0,06

0,10

4,50

0,07

0,11

Le profilage mécanique de plus en plus généralisé permet de réaliser des profils en travers constitués par des versants plans plutôt que par des surfaces à courbure variable. C'est ainsi qu'il est commode de réaliser à la niveleuse une chaussée à deux versants plans raccordés simplement par un méplat.

Notons que la pente transversale est limitée par la nécessité de donner une bonne assise aux roues jumelées des essieux des véhicules et des remorques.

Largeur des chaussées

Nous avons vu que la largeur d'une chaussée dépend de l'importance de la circulation prévue sur cette route. Sur la plupart des routes d'exploitation, la circulation n'intéresse que le seul exploitant travaillant sur une concession. Les besoins de circulation sont donc réduits pratiquement aux seuls besoins de l'exploitation. Compte tenu de l'incidence des coûts de construction sur le prix de revient de l'exploitation, il est indispensable d'adapter la largeur à la circulation, des grumiers lourds qui constituent l'essentiel du trafic.

On estime souvent que les nécessités du croisement des grumiers invitent à prévoir deux voies. Cette solution entraîne à des dépenses fort lourdes et inutiles qu'il est assez facile d'éviter. En effet, les croisements et dépassements peuvent SE, faire facilement si le véhicule le plus léger emprunte à vitesse réduite l'accotement. Il doit être convenu que la priorité est réservée au véhicule chargé. Le grumier vide (ou le véhicule léger) peut se ranger sur l'accotement pour laisser passer le grumier charge qui circule sur la chaussée proprement dite. Pour le dépassement d'un grumier par un véhicule léger, celui-ci empruntera l'accotement gauche. Aucun accident n'est à craindre si la visibilité suffisante est assurée en tous points, à la fois par un bon tracé en plan et en profil et un entretien ultérieur maîtrisant le recrû de la végétation aux points sensibles.

Sur une route à voie unique, avec priorité aux véhicules charges, les véhicules doivent conserver une vitesse modérée. Dans ce cas, une chaussée de 3,50 m avec des accotements est suffisante pour assurer le trafic forestier de 20 à 30 véhicules par jour.

Les quelques sujétions de circulation qu'impose cette largeur sont bien légères au regard des économies considérables qu'elle permet. Une route large invite toujours les chauffeurs aux grandes vitesses génératrices d'accidents. A titre de comparaison, notons ici que l'expérience a prouvé que, sur une route moderne à grand trafic, la largeur de chaque voie devrait être au moins égale à 3,50 m (pour permettre une circulation au moins égale à 200 véhicules par heure).

Au cas où l'on prévoit qu'une circulation accessoire puisse s'ajouter à la circulation propre à une exploitation on s'efforce de réaliser une chaussée large de 4 m entré les accotements.

FIGURE 3. - En, haut, fossé exécuté à la pelle, en bas, fossé exécuté à la niveleuse.

Les accotements

Ils peuvent être de deux types: les accotements dérasés, les accotements surélevés.

Le long des chaussées empierrées, construites en macadam, qui sont encore les plus fréquentes dans les pays tempérés, les accotements ou bas-côtés sont en saillie de 10 cm environ au-dessus de la chaussée.

Les chaussées en sol stabilisé, au contraire, sont toujours construites de façon que l'accotement continue le versant de la chaussée: ce sont des accotements dérasés. Leur pente transversale doit être au moins égale à celle de la chaussée pour faciliter l'évacuation complète des eaux de ruissellement, soit pratiquement 4 à 5 % vers le fossé. Ils peuvent être empruntés par les véhicules légers lors des croisements et dépassements sur les routes à une seule voie. La largeur des accotements est souvent variable et n'est limitée que par la seule nécessité du croisement des camions chargés. Pratiquement, une largeur minimum de 1,50 à 2 m est suffisante dans tous les cas.

Les fossés

Ils peuvent avoir une section trapézoïdale traditionnelle ou une section triangulaire lorsqu'ils sont creusés et entretenus mécaniquement à, la niveleuse. La largeur au sommet, atteint 1 m à 1,50 m suivant les cas (fig. 3).

Pour assurer le drainage des sous-sols SOUS la chaussée, le plafond du fossé doit être à un niveau inférieur de 50 cm à celui de la chaussée. Les fossés doivent être prévus assez largement pour remplir leur rôle. Deux écueils sont à éviter: la formation de dépôts qui les obstruent et une érosion qui menace la plate-forme. La pente longitudinale doit être supérieure à un minimum pour éviter la formation de dépôts, mais aussi inférieure à Un maximum de 5 % environ pour éviter des ravinements qui risqueraient de détruire les accotements.

Pour mémoire, notons ici la présence des exutoires dans lesquels se vident les eaux recueillies par les fossés latéraux et la présence éventuelle des fossés de crête qui évitent le ravinement des versants des déblais.

En conclusion, entre les limites extrêmes de terrassement, l'assiette qui comprend la chaussée, les accotements et les fossés atteint une largeur totale de 8 à 11 m, du moins en alignement droit. :En zone boisée, pour permettre les terrassements et l'entretien ultérieur de la route, le défrichement et le dessouchage doivent être effectués sur une bande correspondant à ces données dont la largeur doit être choisie dans chaque cas particulier.

LE TRACÉ EN PLAN - LES COURBES

On peut considérer en première approximation que le tracé de l'axe d'une route est une succession de lignes droites raccordées par des arcs de cercle. Sur le terrain, le tracé est un compromis entre les caractéristiques de la route et l'allure du terrain. Plus le terrait est vallonné, et plus il oblige à incurver les tracés pour éviter les terrassements onéreux.

On conçoit qu'une courbe constitue Un passage singulier qui ralentit la circulation; aussi chaque courbe fait l'objet d'une étude particulière pour satisfaire aux règles qu'imposent la sécurité et les capacités des véhicules. Nous examinons successivement les trois éléments suivants:

a) la stabilité des véhicules sous l'action des forces centrifuges: le relèvement;
b) la visibilité notamment dans les tranchées en courbe;
c) la facilité d'inscription des véhicules.

Stabilité des véhicules - rayon minimum - relèvement

Dans un virage, la stabilité du véhicule soumis aux forces centrifuges n'est assurée que si l'adhérence lui permet de s'opposer au dérapage. Tout conducteur a éprouvé la tendance au dérapage vers l'extérieur que manifeste un véhicule en circulant à vive allure dans une courbe de faible rayon. Cette tendance est d'autant plus forte que le rayon de la courbe est plus court et que la route est plus glissante. Pour contrarier cette tendance et donner aux véhicules une meilleure stabilité en courbe, on procède au relèvement du virage à l'extérieur de la courbe. On voit donc qu'à vitesse réduite le rayon minimum des courbes est donné par le rayon de braquage extérieur des véhicules. Pour les véhicules longs tels que les camions et les tracteurs avec semi-remorque, ce rayon est de 15 à 20 m, mais pour éviter un ralentissement exagéré des véhicules lourds on est conduit à admettre un rayon minimum très supérieur à ce rayon de braquage. La valeur de ce rayon est un compromis entre le ralentissement imposé que l'on apprécie en fonction du trafic et le coût de la construction que l'on apprécie en fonction de l'utilité de la route. On distingue souvent un rayon limite normal que l'on doit adopter et un rayon minimum qui correspond aux cas exceptionnels.

Rayon limite

Rayon minimum

mètres

En terrain peu accidenté

100

40

En terrain très accidenté

40

20

Au-dessous des rayons de 300 m environ, il faut prévoir un relèvement.

Pour une courbe de même rayon, le relèvement doit être d'autant plus important que l'adhérence de la surface de la chaussée est moins bonne; on ne peut cependant trop relever un virage sur une chaussée en terre, le dévers doit rester modéré pour ne pas gêner les véhicules plus lents et pour ne pas donner lieu à un ravinement transversal. Le dévers ne peut dépasser 5 % sur une route en terre. Dans une courbe avec dévers, on ne conserve pas un profil bombé et l'on donne à la chaussée une pente transversale continue.

Le raccordement de la chaussée en dévers dans la courbe à la chaussée normale en alignement droit doit être progressif pour maintenir la stabilité des véhicules. On admet généralement que le raccordement doit se faire progressivement selon une pente de 1 %, c'est-à-dire sur une longueur égale à 100 fois la hauteur du relèvement maximum. Dans une courbe de rayon limite (100 m), le relèvement peut atteindre une valeur maximum de 0,25 m, ce qui impose un raccordement progressif sur une longueur de 25 m. Cette distance maximum correspond à un relèvement exécuté entièrement au-dessus du profil en long sur le bord extérieur.

Distance de visibilité - distance d'arrêt

Tout conducteur sait qu'il se passe un certain délai entre le moment où le conducteur perçoit la présence d'un obstacle et le moment où il commence à ralentir son véhicule et à exercer une action de freinage; ce délai de réaction varie d'une demi-seconde à 2 secondes. De même, il existe un délai entre le moment où les freins commencent à agir et le moment où le véhicule se trouve effectivement arrêté avant l'obstacle. Il est évident que plus le véhicule va vite, plus ce délai est long. Aussi est-il nécessaire de tracer et construire une route de telle façon qu'à tout moment le conducteur doive apercevoir devant lui une longueur de route suffisante pour lui permettre de s'arrêter avant l'obstacle. Cette longueur s'appelle la distance d'arrêt. Comme l'obstacle peut être constitué par un véhicule venant en sens inverse, la distance minimum de visibilité doit être égale au double de la distance d'arrêt.

Plusieurs facteurs interviennent dans la détermination de cette distance, notamment: la hauteur au-dessus du sol de l'œil du conducteur, la hauteur de l'obstacle dangereux à éviter, la vitesse des véhicules, l'adhérence des pneus sur la surface de la route. Le calcul qui permet de déterminer dans chaque cas les distances à respecter sortirait du cadre de cette étude.

Nous indiquons au tableau 2 les distances de visibilité à respecter selon les vitesses maximums admises pour les véhicules sur la route étudiée.

TABLEAU 2. VITESSES MAXIMUMS ADMISES¹

Vitesse maximum admise

Distance d'arrêt

Distance visibilité

Km/h

mètres

30

21

42

40

32

64

50

45

90

60

60

120

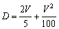
1Les valeurs du tableau 2 sont établies à partir de la formule:

D = distance d'arrêt en mètres;
V = vitesse du véhicule en km/h

La première Partie de la formule correspond à, la distance parcourue pendant le délai de réaction du conducteur; la seconde partie correspond à la distance de freinage jusqu'à l'arrêt.

Pour chaque courbe, on vérifie que la distance minimum de visibilité est respectée: cette vérification s'impose en particulier dans les passages en déblai où le talus intérieur forme une saillie qui masque la route. Cette distance de visibilité constitue une sujétion assez étroite même pour les courbes à faible rayon parcourues à vitesse réduite. Suivant les points, on peut rétablir la visibilité au moyen de plusieurs procédés.

Dans le cas le plus courant, on effectue le dérasement du talus non au niveau de la chaussée mais au niveau de l'œil des conducteurs, c'est-à-dire pratiquement à ] m ou 1,25 m au-dessus de l'axe de la chaussée, c'est ce qu'on appelle une banquette de visibilité (fig. 4).

On peut séparer sur la courbe les deux courants de circulation sans recourir à un élargissement excessif de la chaussée. Il suffit d'implanter dans l'axe de la chaussée une ligne de piquets forts (diamètre: 8 à 15 cm) hauts de 1 m à 1,5 m. Cet aménagement est très efficace dans les, tournants serrés et dans le haut des côtes (fig. 5).

FIGURE 4. - Banquette de visibilité (indiquée par une flèche) dans les courbes de rayon court à profil en déblai.

Lorsque le terrain impose une courbe de très court rayon (moins de 50 m) à profil mixte déblai-remblai sur un versant à pente transversale abrupte (plus de 80 %), il est souvent plus facile de construire deux voies parallèles, une pour chaque sens, sur une longueur de 200 à 300 m que de prévoir une seule voie de même longueur. La solution des deux voies oblige à des terrassements moins importants, d'exécution plus rapide, et facilite le drainage des parties en courbes (fig. 6).

Surlargeur en courbe - inscription des véhicules

Dans les courbes à court rayon, les véhicules articulés tels que les camions grumiers à semi-remorque éprouvent quelque difficulté à s'inscrire. Lorsque le braquage des roues avant est rapide, les roues arrière du tracteur et les roues de la remorque décrivent une trajectoire à courbure progressive. Elles tendent à «couper le coin». Le véhicule a un encombrement supérieur à son gabarit en ligne droite. Il faut donc prévoir une surlargeur dans la courbe, que l'on place symétriquement de part et d'autre de l'axe ou vers l'intérieur. Cette surlargeur constante dans la partie courbe est raccordée progressivement aux alignements droits à l'entrée et à la sortie de la courbe (fig. 7).

TABLEAU 3. - SURLARGEURS EN COURBE ET LONGEURS DE RACCORDEMENTS

Rayon sur l'axe (R)

Surlargeur (S)

Longueur du raccordement (T)

mètres

20

2,50

20

40

1,30

25

50

1

30

100

0,50

30

Emplacement des courbes

Il est des points spéciaux ou l'emplacement de courbes ne peut être retenu même lorsque la configuration du terrain obligerait à en prévoir un. On évite de prévoir une courbe sur les remblais et dans les tranchées ou à la jonction avec une route principale.

Ponts forestiers

Un cas particulier est fourni par l'emplacement des ponts; les ponts forestiers sont presque toujours des ponts provisoires de largeur -réduite. Même si leur état n'impose pas un arrêt avant franchissement, il est indispensable de placer à l'entrée et à la sortie du pont une ligne droite axée sur l'ouvrage d'au moins 30 m pour éviter toute fausse manœuvre (fig. 8).

Deux courbes de sens contraire doivent être séparées autant que possible par un alignement droit de 40 m en terrain facile et 10 m en terrain très accidenté. On évite de construire un virage isolé de faible rayon qui risque de surprendre les conducteurs sur un itinéraire homogène.

LE PROFIL EN LONG

Le profil en long doit être une courbe continue. Il est pratiquement composé de lignes droites raccordées par des cercles. Doivent être écartées à tout prix les brusques variations de pente telles que les cassis, les dos d'âne, qui sont toujours des points dangereux pour les véhicules et désagréables aux voyageurs.

Le profil en long doit répondre à plusieurs conditions:

a) assurer l'écoulement des eaux;
b) éviter un ralentissement exagéré des camions lourds dans les rampes;
c) éviter un effort de freinage trop important dans les fortes pentes;
d) assurer une bonne visibilité en tous points.

FIGURE 5. - Profil en travers au sommet des côtes. Le terrain naturel est indiqué par une flèche à gauche.

FIGURE 6. - Double vote de circulation dans une courbe de court rayon à profil en déblai.

FIGURE 7. - Surlargeur et raccordement.

FIGURE 8. - Courbes à l'entrée et à la sortie d'un, pont forestier.

Ecoulement des eaux - le ravinement

La stagnation des eaux sur la chaussée doit être évitée à tout prix sur toutes les chaussées mais tout particulièrement sur les chaussées en terre ou chaussées souples à éléments fins que sont les routes forestières. Une pente minimum est donc nécessaire et toujours préférable à un palier (ou section de route) horizontal. Une pente de 1 % doit être considérée comme un minimum. Dans ce cas, on s'efforcera de porter le bombement à son maximum possible. Nous avons déjà vu comment les nécessités d'un excellent assainissement imposaient au profil en travers des sujétions de bombement maximum et de largeur minimum.

A l'opposé, les dégradations dues au ravinement par les eaux pluviales sur les chaussées en terre (ou en sol stabilisé) s'accroissent très vite à mesure que la pente augmente. Au-dessus d'une pente de 5 %, les dégradations s'aggravent et obligent à un entretien particulièrement onéreux. Les dégradations dues au ravinement sont d'autant plus graves que la pente est plus forte et que la déclivité est plus longue.

Véhicules dans les rampes et pentes

Pour bien apprécier l'influence des rampes sur la circulation des camions grumiers souvent utilisés à pleine charge, il faut connaître l'importance relative des différentes résistances que doit vaincre un camion. On sait que, d'une façon générale, la résistance au mouvement est composée de quatre éléments: résistance au roulement dans le ou les essieux moteur et porteur, résistance de l'air, pesanteur (en rampe ou déclivité), accélération lorsque le mouvement n'est pas uniforme.

Tandis que les résistances au roulement et la résistance à l'air n'absorbent qu'une faible partie de la puissance développée par le moteur, la pesanteur au contraire absorbe de Loin la, majeure part de cette puissance. On a l'habitude de voir les camions ralentir peiner dans les côtes. Tout ralentissement ne permet pas au camion de récupérer et le chauffeur est amené à rétrograder ses vitesses dans des conditions quelquefois difficiles. Diverses études théoriques ont montré que les camions lourds ne peuvent gravir en charge des rampes supérieures à 6 % qu'à, très faible vitesse et au prix d'une consommation en carburant et d'une usure du moteur et de la transmission excessives.

De même, les pentes nécessitent un effort de freinage important confié en partie à des systèmes ou organes spéciaux appelés ralentisseurs.

Pour limiter l'effort de traction imposé aux véhicules, les pentes sur les courbes à faible :rayon doivent être moins accusées que sur les alignements. On peut donner comme règle de ne jamais dépasser 5 % dans une rampe en courbe.

Compte tenu de l'influence du ravinement et des dépenses de transport, les pentes limites suivantes ne doivent pas être dépassées:

Sens de circulation

En charge

A vide

%

Terrain peu accidenté

4

8

Terrain très accidenté

6

12

La visibilité

Ce problème ne se pose pas pour les dépassements en raison du faible trafic sur les routes forestières. Seuls les sommets de côte constituent souvent un point dangereux.

Il est, facile et économique d'installer en ces points deux voies à sens unique séparées par une rangée de forts piquets d'un diamètre de 8 à 15 cm, hauts de 1 m à 1,50 m au-dessus du sol. Les deux voies sont alors établies sur l'ensemble de la plate-forme avec réduction ou suppression des accotements (fig. 5).

2. Les routes en sol compacté

La réalisation de chaussées capables de supporter la circulation de véhicules lourds n'est pas liée à la présence de matériaux durs apportés à grands frais. L'expérience montre que, clans certaines conditions d'humidité optimum, le sol naturel peut parfaitement supporter une circulation routière; c'est le cas de sols argileux secs ou de sols sableux mouillés. On sait également que ces qualités se modifient jusqu'à disparaître lorsque l'humidité change. Les études systématiques entreprises à l'origine aux Etats-Unis et poursuivies depuis dans de nombreux pays ont conduit à mettre au point une technique de stabilisation des sols. Cette technique a l'immense avantage de permettre la construction rapide d'une route avec un apport de matériaux plus réduit que pour une route en macadam. Cet apport et ce transport se limitent à la seule couche d'amélioration. La technique des chaussées en sol compacté est basée sur l'étude des propriétés des sols: la granulométrie, le rôle de l'eau le compactage.

La chaussée est constituée par l'ensemble des différentes couches destiné à supporter la circulation des véhicules et à en reporter les charges sur le terrain sous-jacent. Il nous faut donc connaître les actions des véhicules sur la chaussée et les propriétés des sols.

ACTION DES, VÉHICULES SUR LA CHAUSSÉE

En surface, les véhicules exercent diverses actions destructrices. Le poids de véhicules est transmis sous forme de pression généralement par l'intermédiaire des pneumatiques. Pour tenir compte de la raideur du pneumatique, la pression sur la chaussée est légèrement supérieure (de 10 % environ) a la pression de gonflage. C'est la pression de gonflage qui définit les efforts dans les couches supérieures tandis que c'est le poids des essieux qui contribue à la fatigue du terrain de fondation.

Les roues transmettent des actions tangentielles a la route :lors de l'accélération, lors du freinage ou du dérapage: ces divers frottements engendrent l'usure des pneus et de la route. Les chocs provoqués par les irrégularités de la chaussée ajoutent des effets dynamiques à l'action statique du poids des véhicules; ceci explique l'approfondissement rapide des trous et justifie l'entretien très régulier; onadmet d'une façon générale que, dans une chaussée souple, la fatigue du terrain en un point donné dépend essentiellement de l'épaisseur de chaussée située au-dessus de ce point. Aussi l'épaisseur de la chaussée à prévoir dépend de la qualité du terrain de fondation.

PROPRIÉTÉS DES SOLS

Granulométrie

Lorsqu'on examine un sol, on distingue des grains de grosseur très variable. Ces divers éléments ont reçu des noms différents suivant leurs dimensions; on distingue:

Les éléments grossiers

Cailloux: supérieurs à 20 mm
Graviers: compris entre 2 mm et 20 mm
Sables gros: compris entre 0,2 mm et 2 mm.

Les éléments fins

Sables fins: entre 0,02 mm et 0,2 mm c'est-à-dire 20 et 200 microns
Limons: compris entre 2 et 20 microns
Argiles: inférieures à 2 microns.

L'analyse granulométrique permet de mesurer le poids des éléments inférieurs ou supérieurs à une dimension donnée existant dans le sol étudié. Cette analyse s'obtient par le tamisage des éléments de dimensions supérieures à 0,1 mm et par sédimentation des éléments de dimensions inférieures à 0,1 mm. On trouve des sols présentant une granulométrie continue et susceptibles de se compacter comme nous le verrons plus loin dans les différents cas suivants. Les terrasses des lits majeurs des rivières et des fleuves sont souvent composées des couches plus ou moins épaisses d'un mélange de sables et de graviers qui peut être utilisé après une simple extraction. De même, certaines couches de terrain comportant un mélange de graviers (au sens routier du terme), de sables gros, de sables fins, de limon et d'argile peuvent être utilisées dans leur état d'origine sans aucun criblage: ce sont des tout-venants de carrière. Une mention spéciale doit être faite pour les tout-venants latéritiques qui correspondent à certaines couches de latérites granuleuses. Dans ces différents sols, ce sont les éléments fins, en particulier l'argile en présence de l'eau, qui donnent la cohésion aux sols. Cette cohésion est due aux forces capillaires qui soudent entre eux les éléments fins du sol

Rôle de l'eau

La présence d'argile et d'eau joue un rôle très important dans le comportement du sol; on sait en effet que l'argile a l'avantage de se dessécher difficilement et de conserver la cohésion par temps sec et l'inconvénient d'être très sensible à un excès d'eau. Les sols très perméables, tels que les sables, sont peu vulnérables à l'eau. Les sols très imperméables à forte teneur en argile s'imbibent mal. Par contre, les sols intermédiaires tels que les limons sont les plus sensibles à l'action de l'eau.

L'ensemble des éléments de dimensions inférieures à 0,42 mm (passant au tamis 0,42) constitue le mortier et joue le rôle essentiel dans le comportement du sol vis-à-vis de l'eau. Les teneurs en eau du mortier servent à caractériser les changements de consistance du mortier qui passe de l'état de liquide pâteux, dit état fluide, à l'état plastique où le sol garde sa forme mais se pétrit à la main et se déforme sous de faibles charges. La présence de matières organiques ou d'humus augmente la sensibilité du sol à l'eau. Pour cette raison, la partie superficielle du sol qui contient des éléments végétaux en décomposition doit toujours être décapée et écartée de l'assiette de la route avant de procéder aux terrassements.

Stabilisation et compactage

Tout sol naturel en place comme tout sol remanié et foisonné contient de nombreux vides remplis d'air et donne lieu à des tassements sous l'influence des charges. Pour utiliser un sol quelconque comme couche de chaussée, il faut le stabiliser, c'est-à-dire améliorer ses qualités routières de façon qu'il puisse supporter la circulation même dans des conditions défavorables d'imbibition ou de sécheresse. Cette amélioration peut se faire au moyen de plusieurs techniques: par le compactage, par la correction de la granulométrie ou des qualités du mortier. Pratiquement, le compactage constitue le moyen très généralement utilisé sur les routes forestières.

Le compactage consiste à réduire le volume apparent du sol, c'est-à-dire à réduire les vides et augmenter la densité du sol. Il a pour but de réaliser la disposition des grains qui donne la densité maximum de façon à réduire les possibilités d'imbibition. Le compactage est obtenu à l'aide d'engins spéciaux dont la description et la technique d'emploi sont précisées à la section 4. Ces engins sont soit les rouleaux à pieds de mouton, soit les rouleaux à pneumatiques, soit les rouleaux vibrants.

Le résultat obtenu dépend surtout de la teneur en eau du sol à compacter. Une petite quantité d'eau agit comme lubrifiant et facilite la mise en place des grains par rapport aux autres et le départ de l'air des vides; lorsqu'il y a un excès d'eau, les bulles d'air restent enfermées et absorbent les efforts des engins. D'autre part, pour obtenir une densité donnée, l'énergie de compactage à fournir passe par un minimum pour une teneur en eau donnée. Sur les chantiers la teneur en eau varie, aussi doit-on rechercher une teneur en eau voisine de la teneur optimum. On peut appliquer la règle empirique suivante: on se trouve au voisinage de la teneur en eau optimum quand on observe que sur une poignée de matériau serrée fortement avec la main l'empreinte des doigts est marquée sans que l'eau suinte à travers les doigts; la boule de sol doit se lisser lorsqu'on la fait sauter deux ou trois fois dans la main. Suivant les cas, on est amené soit à scarifier le sol pour l'aérer et faciliter l'évaporation, soit à l'arroser pour augmenter la teneur en eau. C'est pour cette même raison qu'il faut empêcher les introductions d'eau ultérieures dans la chaussée, car elles auraient pour effet d'en diminuer la résistance. L'évaporation joue un rôle essentiel sur des chaussées non revêtues ou des routes en terre en réduisant la teneur en eau et en accroissant la cohésion.

Nous verrons plus loin comment ces données théoriques peuvent se traduire en règles pratiques d'action. Sur les chantiers de travaux publics, les opérations de compactage donnent lieu à de nombreux essais de laboratoire pour contrôler la teneur en eau et mesurer la densité sèche. Ces essais assez faciles à exécuter doivent être nombreux pour suivre les variations des sols rencontrés par la route, mais ils ne sont pas encore entrés dans la pratique des chantiers forestiers. On se contente du savoir-faire des techniciens du chantier qui s'aident d'un certain nombre de repères pratiques consacrés par leur expérience.

CONSTITUTION DES CHAUSSÉES

Rôle des différentes couches

Sur une chaussée publique construite pour subir une circulation importante, on distingue plusieurs couches dont chacune est destinée à résister à des efforts définis. De haut en bas, on distingue de façon schématique la couche de surface, la couche de base, la couche de fondation (fig. 9).

La couche de surface supporte les efforts verticaux dus aux charges et les efforts horizontaux dus au freinage; elle doit résister au cisaillement et présenter une grande cohésion. Elle est constituée le plus souvent à base de liants hydrocarbonés et reste en contact avec les roues.

La couche de base, épaisse de 10 à 20 cm, doit résister surtout aux efforts verticaux; elle doit être compacte et présenter une bonne cohésion en surface.

La couche de fondation, plus grossière que la couche de base et destinée à résister à des charges verticales amorties, peut ne présenter aucune cohésion.

La forme est la surface du terrain de fondation ou terrain naturel telle qu'elle résulte du terrassement. Notons pour mémoire que l'on peut placer entre la couche de fondation et le terrain naturel une sous couche pour couper les remontées capillaires dues aux nappes profondes et drainer les eaux d'infiltration.

Pratiquement, pour les routes d'exploitation en sol compacté, on ne trouve pas cette succession des trois couches qui correspond à des matériaux choisis pour résister aux divers efforts. En effet, la qualité de chacune de ces couches doit être déterminée à priori, ce qui conduit à des apports importants et relativement coûteux de matériaux. On ne peut guère distinguer que deux couches différentes: le sol naturel et la couche d'amélioration.

FIGURE 9. - En haut: les couches d'une chaussée publique à grand trafic. En bas: les deux couches d'une route forestière en «terre».

Sol naturel

Le sol naturel une fois décapé de la terre végétale et rehaussé par des apports transversaux suffit à constituer la couche de fondation qui continue ainsi le terrain naturel. De très nombreux sols conviennent, dès lors qu'ils peuvent être compactés et qu'ils sont peu sensibles à l'eau.

Le compactages de ces sols est d'autant plus facile à réaliser que la granulométrie est continue. Dans ce cas, la répartition des grains de grosseur différente permet d'obtenir par compactage une forte densité et une bonne réduction des vides. Ces sols sont d'autant moins sensibles à l'eau qu'ils contiennent moins d'éléments fins et surtout d'argile. Ainsi les sols suivants conviennent particulièrement:

a) les sols à gros grains constitués par un mélange de gravier et de gravillons avec peu ou pas de fines;
b) les graviers avec fines, plus ou moins limoneux ou argileux;
c) les sols sableux avec peu ou pas de fines.

On pourra se contenter de sables fins peu limoneux. La principale qualité exigée à ce niveau de la chaussée est une faible sensibilité à l'eau: il convient d'assurer un bon. drainage effectué par les fossés et l'évaporation.

La couche d'amélioration

Au-dessus du sol naturel compacté, on réalise une couche d'amélioration correspondant à la couche de base des routes importantes. Le matériau constituant fait l'objet d'un choix spécial, ce qui oblige, en fait, à recourir à un matériau d'apport pour résister aux contraintes localisées qui peuvent se manifester. Les cailloux de plus de 30 à 40 mm sont à éliminer pour faciliter l'épandage et le nivellement et éviter les arrchements en surface par la circulation. Comme pour le sol de fondation, une bonne granulométrie permet la stabilisation de cette couche par compactage. Les matériaux doivent présenter une dureté suffisante pour ne pas s'écraser sous la circulation: ce défaut qui modifie la granulométrie et accroît la plasticité se rencontre chez certains sables granitiques et chez certains schistes. Cette couche d'amélioration a une épaisseur variable de 15 à 20 cm environ avant tassement. Elle est constituée par des mélanges graveleux naturels comprenant des cailloux, des graviers, des sables et peu de fines. Ils sont; extraits de carrières ouvertes dans des dépôts fluviaux situés dans le lit majeur des rivières.

Dans la zone tropicale, cet apport est très souvent constitué par un tout-venant latéritique comprenant des éléments grossiers et une partie fine argileuse. Les éléments grossiers de diamètre supérieur à 1 mm sont constitués par des concrétions ferrugineuses de dureté variable et donnent aux couches compactées une résistance élevée au cisaillement. La partie fine contient des oxydes de fer et d'aluminium qui provoquent le durcissement à l'air et l'insensibilisation à l'eau généralement constatés. Les tout-venants latéritiques se compactent très bien au rouleau à pneu ou plus simplement par la circulation. Ils constituent d'ailleurs très souvent le seul matériau dur accessible dans le région intertropicale.

Les matériaux d'apport constituant la, couche améliorante sont extraits de gisements naturels toujours hétérogènes. La teneur en concrétions varie d'un niveau à l'autre; les gros rognons compacts que l'on peut; rencontrer doivent être écartés. Très souvent les bancs présentant une composition convenable sont peu épais et la teneur en argile augmente jusqu'à devenir inacceptable à la partie inférieure. La prospection de ces gisements et la surveillance de l'extraction exigent, une intervention constante de la part du chef de chantier.

ACTION DE L'EAU DANS LA CHAUSSÉE

Les propriétés mécaniques des sols à éléments fins varient avec la teneur en eau. Nous avons vu que la cohésion est liée à la présence de l'argile et de l'eau mais qu'en contrepartie l'argile présentait une très grande sensibilité à l'eau. En outre, nous avons vu que la résistance augmente avec la compacité et que la compacité maximum ne peut être obtenue par compactage que pour une teneur en eau convenable. Une fois réalisé ce compactage maximum, il est essentiel d'empêcher les introductions d'eau ultérieures qui entraînent toujours des désordres. Presque toujours, les ruines de chaussées sont imputables à la réduction inopinée de résistance, soit du terrain, soit d'une couche constitutive de la chaussée.

Les mesures à prendre doivent tendre à:

a) éviter la pénétration des eaux de pluies dans la chaussée;
b) assurer l'évacuation des eaux de pluies par écoulement;
c) assurer le drainage des couches constitutives;
d) empêcher l'imbibition par capillarité;
e) favoriser l'évaporation en surface.

La pénétration des eaux de pluies est limitée par la présence des couches supérieures compactées qui présentent une perméabilité réduite. Il est évident que pour des raisons d'économie, les routes exclusivement forestières ne sont jamais recouvertes d'une couche imperméable à base de sol-ciment ou de liant hydrocarboné. Aussi, seules la compacité de la couche supérieure et la forme bombée de la chaussée contribuent à limiter l'imbibition superficielle par les eaux de pluies. Lorsque les travaux de terrassement sont conduits en saison des pluies, il est souhaitable de n'arrêter le chantier qu'après avoir réalisé en surface une forme bombée assurant l'évacuation des eaux de pluies vers des fossés provisoires. Cette forme qui peut se présenter simplement sous la forme d'un toit à deux pentes est réalisée à la niveleuse opérant après le bulldozer. Les travaux d'entretien sont destinés, surtout dans les zones à climat très pluvieux, à rétablir la forme régulièrement bombée pour éviter toute stagnation d'eau en flaques.

L'évacuation des eaux par les fossés doit être aussi rapide que possible (fig. 10). Les fossés latéraux n'ont pas pour but de recueillir les eaux tombées sur la chaussée mais d'évacuer les eaux vers les exutoires naturels tels que les ruisseaux ou les fossés d'assainissement. Un fossé latéral qui reste plein d'eau, faute de pouvoir se vider dans des exutoires trop exigus ou trop peu nombreux contribue à l'imbibition de la chaussée voisine et en réduit beaucoup la résistance. Après la fin d'une forte pluie, la route peut avoir séché en surface sur quelques centimètres sous l'action du vent et du soleil et, cependant, donner lieu à des ornières si les couches inférieures sont imbibées d'eau par un fossé voisin qui reste souvent plein d'eau ou ne se vide que lentement.

Nous avons vu plus haut que la pente longitudinale des fossés devait être supérieure à 0,5 % environ pour éviter les dépôts de sédiments, boues et sables, mais inférieure à 5 % pour éviter les ravinements qui détruiraient les accotements. A ce titre, il est indispensable d'établir des exutoires suffisants pour assurer l'évacuation des pluies intenses. Ils doivent être très nombreux dans les deux cas suivants:

a) lorsque le fossé latéral a une pente faible (1 ou 2 %), parce que la vitesse d'évacuation des eaux est faible;

b) lorsque le fossé latéral a une pente forte (5 %), parce que la vitesse d'évacuation des eaux est forte et provoque une érosion active. Dans les portions de route situées à flanc de coteau, le fossé intérieur doit pouvoir se vider sous la route par des dalots en nombre suffisant. Pour bien apprécier sur une section de route si les fossés et les exutoires ouverts sont suffisants pour évacuer les eaux pluviales, il n'est guère d'autre moyen que de visiter cette section à l'issue d'une très forte pluie. On s'aperçoit alors que les exutoires sont presque toujours insuffisants pour remplir leur rôle.

FIGURE 10. - Rôle des fossés et exutoires. A gauche: fossé sans évacuation. A droite: fossé assez profond.

Lorsque la chaussée est imbibée d'eau, soit par des eaux pluviales, soit par des eaux des fossés latéraux restés pleins, soit par des eaux de nappes profondes remontant par capillarité, le drainage permanent doit être assuré. Pour assurer ce drainage permanent on dispose de plusieurs moyens. Les fossés latéraux doivent être construits de façon que leur plafond soit à un niveau inférieur à celui de la chaussée d'au moins 50 cm, pour que les risques d'une imbibition prolongée éventuelle soient limités aux seules couches profondes lorsque le fossé se vide mal dans les exutoires. Lorsque la chaussée est établie sur un terrain aquifère et où le niveau des nappes profondes s'approche de la surface, il est recommandé de placer entre le terrain naturel et les couches apportées en remblai une couche peu épaisse drainante et anticapillaire très perméable qui coupe les remontées capillaires et évacue les eaux provenant soit de ces remontées, soit d'infiltration de haut en bas; une épaisseur de 10 cm environ de sable et de graviers remplit bien ce rôle. Il peut être commode de placer cette couche sur un lit de fascines ou de gaulettes qui évitent le mélange avec les terrains sous-jacents.

L'évaporation en surface dépend directement de l'ensoleillement et de l'aération de la chaussée. En forêt, les grands arbres voisins de la plate-forme forment écran aux rayons du soleil. Leur ombre portée empêche la chaussée de sécher surtout au début de la matinée. En les abattant, on obtient un allongement de la période d'ensoleillement et une meilleure aération de la surface de la chaussée; les courants d'air circulent d'autant mieux que la tranchée ouverte dans la forêt est plus large. Il va de soi que jamais une cime d'arbre ne doit se trouver à la verticale de la route, cette situation entraîne la présence de l'ombre de la cime sur la chaussée, qui reçoit en outre l'égout des rameaux longtemps après la fin de chaque pluie.

Il est difficile de préciser sur quelle largeur minimum la forêt doit être abattue pour éclairer et dégager la route. (Jette largeur dépend de nombreux facteurs: la hauteur moyenne du peuplement, l'orientation de la route, le sens des vents dominants, la nature du sol. Plus le peuplement est haut. plus le dégagement de la chaussée doit être large. Le côté qui se trouve exposé au soleil le matin sèche plus vite que le côté opposé. Une route orientée selon les vents dominants séchera plus vite que si elle est orientée dans un sens différent. Les chaussées sur sol argileux doivent être plus éclairées que celles qui sont établies en sol sableux. Une voie principale doit toujours être plus éclairée qu'une voie secondaire (fig. 11).

FIGURE 11. - Dégagement des chaussées en 4 gauche: moindre dégagement (au voisinage des petits arbres, du côté ensoleillé tôt, en sols sableux). A droite: large dégagement (au, voisinage des grands arbres, du côté ensoleillé tard, en sols argileux.).

Certains chefs de chantiers admettent que la largeur du débroussé de chaque côté doit être au moins égale à la largeur de l'assiette de la route: lors de la construction, ils prévoient une ouverture dans le peuplement forestier dont la largeur est égale à trois fois la largeur de la route, fossés compris. La meilleure règle consiste à préciser qu'après 8 heures 30 ou 9 heures du matin aucune ombre ne doit être portée sur la plate-forme de la route entre les fossés latéraux. Tout arbre qui donnerait de l'ombre à ce moment devrait être abattu.

Nous avons rassemblé ici les diverses règles qui gouvernent la protection des chaussées contre les dégradations et les réductions de résistance par l'eau. Elles doivent constituer autant de préoccupations permanentes pour le constructeur de routes forestières en terre et doivent correspondre dans son esprit à une véritable «hantise de l'eau». Il faut bien se dire que si les couches de la chaussée sont imbibées ou si la circulation a lieu sur une telle chaussée ayant perdu sa résistance, les déformations, ornières et trous sont profonds et irrémédiables pendant toute la saison des pluies. Mais, si l'on veille à prendre toutes les précautions que nous précisons, l'épaisseur de la chaussée qui est détrempée reste assez faible pour sécher en quelques heures et la route peut alors supporter le trafic d'évacuation des grumes. Sauf au plus fort de la saison des pluies, un exploitant dispose de nombreux jours secs pour réaliser ses transports.

3. L'étude du tracé

On entend souvent dire que la construction des routes coûte déjà trop cher pour qu'on puisse se permettre de passer un temps par ailleurs précieux à en étudier le tracé. Il suffit d'évaluer le coût de cette étude et de comparer cette dépense aux dépenses de construction pour s'apercevoir que le montant des économies à en attendre, grâce à une diminution de longueur totale à construire et à une réduction des mouvements de terre, est tel que toute dépense d'étude correspond à un excellent placement.

Pour préciser cette observation, nous supposerons que le surcroît de travail d'étude équivaut à parcourir quatre à six fois au plus le tronçon de route étudié. La cadence est de 3 à 6 km couverts par jour avec un groupe composé du chef de chantier, d'un contremaître boussolier et d'une équipe d'une dizaine d'hommes. Une étude préalable de trace, conduite selon les principes ci-après, correspondrait à une dépense de l'ordre de 2 à 3 % du prix de :revient total. Notons qu'on admet souvent aux Etat-Unis, pour des routes forestières, un coût des études de 5 % du prix de revient total

Au regard de cette dépense qui correspond, par kilomètre de route, à environ deux à trois heures de travail de tracteur du type D7, que représentent les milliers de mètres cubes de terrassements que l'on peut économiser? Sans compter les autres avantages indirects mais tangibles que procure une :route bien tracée: les pentes sont adaptées aux véhicules, les virages n'obligent plus à ralentir exagérément, les camions grumiers peuvent être utilisés à pleine charge à vitesse normale et sans fatigue excessive.

Un principe fondamental préside à toute étude: les grandes lignes d'un tracé SE, déterminent à l'avance par une méthode d'approximations successives sur des cartes, plans ou croquis d'échelle croissante, établis à la suite de reconnaissances effectuées à pied sur le terrain.

Il faut bien souligner deux aspects essentiels des études de routes:

Rien ne remplace l'étude méthodique et progressivement détaillée de la zone de terrain finalement sélectionnée. Cette étude conduit, à parcourir à pied plusieurs fois dans les deux sens la zone de passage choisie pour y vérifier et compléter les renseignements recueillis au cours de reconnaissances antérieures. Ces renseignements seront mis à profit lors des études au bureau, périodes d'étude et de réflexion alternant avec les reconnaissances en forêt.

La détermination du tracé et les diverses reconnaissances d'ensemble ne peuvent être exécutées que par une personne dament qualifiée (chef de chantier ou ingénieur) et ayant la pratique de l'exploitation forestière. :Le rôle d'un topographe, qui ne serait que topographe, est de :Lever des plans, de piqueter un tracé, d'étudier un cheminement d'une pente donnée, opérations délicates certes, mais plus ou moins mécaniques, et non pas de choisir un trace. Ce choix requiert toute l'expérience du chef de chantier ou d'un ingénieur et résulte d'un compromis entre les formes du terrain à parcourir et la route qu'il envisage d'établir et d'exploiter.

Ce sont précisément les qualités de jugement et d'expérience qui ont une influence majeure sur le choix du meilleur tracé, de celui qui conduit aux moindres terrassements tout en permettant la construction d'une chaussée dont les caractéristiques ont été fixées d'avance. Il est illusoire de penser que la «recherche d'un passage» s'effectue uniquement sur le terrain. Le travail d'étude et la reconnaissance à pied sur le terrain se complètent. En effet, toute vue d'ensemble et toute décision ne peuvent être obtenues qu'au campement dans des conditions de calme et de réflexion telles que l'on y dispose facilement du plus grand nombre possible de renseignements de tous ordres et que l'on puisse apprécier dans leur ensemble les éléments de décision. Par contre, les renseignements de base qui serviront à éclairer le choix ultérieur ne peuvent être recueillis que sur le terrain. S'obstiner à vouloir limiter sa recherche au seul terrain n'aboutit qu'à parcourir de façon désordonnée une grande surface au prix d'efforts prolongés sans apporter autre chose en définitive que quelques renseignements plus ou moins bien reliés les uns aux autres.

LES PHASES SUCCESSIVES D'UNE ÉTUDE DE TRACÉ

Nous distinguerons cinq phases dans l'étude méthodique et progressivement détaillée du terrain:

1. La recherche des renseignements d'ordre général par l'étude de cartes existantes, par des reconnaissances aériennes et par l'examen de photographies aériennes.

2. L'établissement de tracés provisoires à la lumière des renseignements rassemblés.

3. Des reconnaissances de détail poursuivies sur le terrain en fonction des hypothèses du tracé provisoire.

4. La détermination du tracé définitif pour rectifier le tracé provisoire en fonction des renseignements recueillis au cours des reconnaissances.

5. En dernier lieu, l'implantation et le piquetage du tracé choisi en fonction des accidents de détail rencontrés sur le terrain.

Dans la réalité, certaines de ces phases se trouvent étroitement imbriquées, voire même simultanées, en raison de l'expérience et des qualités de l'agent chargé de cette étude. Mais chacune de ces phases correspond à un stade réel d'avancement des travaux d'études. En pratique, un tel effort systématique n'immobilise pas le chef de chantier plus longtemps que ne le permettent ses obligations habituelles.

Phase 1. - Examen d'ensemble des documents

Nous examinerons successivement comment étudier la direction générale du tracé puis résoudre le problème général du tracé entre deux points.

La première phase de l'étude consiste à dégrossir la direction générale du tracé. Ce travail doit utiliser tous les documents cartographiques disponibles sur la région.

Cartes générales. Une démarche préalable consiste à s'informer des documents cartographiques existants. En dépit de leurs imperfections, ces cartes peuvent au début apporter une aide non négligeable; on y trouve au moins quelques renseignements qu'il sera assez facile de contrôler; les lignes de crête, les rivières principales, les chutes ou rapides sur les rivières importantes. En fait, ces cartes diverses ne sont utiles que pour une exploration à petite échelle, mais pour une concession d'étendue moyenne (10000 ha) on retirera très peu de renseignements des cartes ou croquis au 1/200 000 en dehors de l'emplacement des rivières très larges ou de lignes de crête dont le franchissement pose un problème ardu.

Reconnaissances aériennes. On aura toujours avantage à effectuer des reconnaissances aériennes à vue au-dessus de toute la zone forestière étudiée. Un plan des différents vols doit être minutieusement établi à l'avance. On reportera ces trajets sur les croquis ou cartes à petite échelle dont on dispose, même si ces documents sont peu précis. Ce plan de vol comprend deux sortes de vols, soit un réseau de vols selon un quadrillage à équidistance de 5 à 10 km, soit des vols entre deux points faciles à identifier constituant des points de repère remarquables tels que: corne de forêt, chute ou rapide sur un cours d'eau, confluent de deux rivières, carrefour de route, butte témoin, village. Pour chaque vol, les distances sont notées en minutes d'après la vitesse de l'avion (à 180 km/h une minute correspond à 3 km de parcours). Au moment du survol de chaque point remarquable, on note l'heure pour situer ce point ensuite sur la carte.

L'altitude de vol sera de 400 à 1000 m, selon le plafond rencontré et les performances de l'avion. On utilise des avions légers à aile haute pour faciliter les vues de l'équipage et capables de voler à moins de 200 km/h par rapport au sol. Si l'on veut éviter les corrections de dérive dues au vent, chaque trajet en ligne droite sera limité à une demi-heure environ. L'équipage comprend un pilote et un ou deux observateurs contrôlant mutuellement leurs relevés.

Une reconnaissance aérienne peut d'ailleurs être faite à des états différents d'avancement des travaux. Ainsi l'avion peut être utilisé aussi bien pour un survol général et systématique de la zone à parcourir (1re phase des travaux) que pour une reconnaissance particulière (3e phase des travaux) au-dessus d'une zone limitée, voire même pour l'observation d'un point précis tel qu'un col ou une falaise à franchir.

Si l'on dispose de photographies aériennes même de petite échelle (par exemple au 1/50000 environ), il ne faut pas hésiter à les utiliser. La photographie aérienne est en effet une image du terrain expressive, fidèle et complète sur laquelle on peut repérer tous les détails importants de la topographie. Chaque photographie peut être soumise à un examen qualitatif et même permettre des mesures d'angles de direction: seuls en effet sont conservés les angles à partir du point principal ou centre de chaque photographie mais non les longueurs mesurées à partir de ce même point.

Dans le cas de terrains peu accidentés, avec des photos prises à axe très sensiblement vertical, si on peut obtenir un bon assemblage des photos de plusieurs bandes en se préoccupant de répartir le mieux possible des discordances de bande à bande, en conservant une bonne superposition des parties communes aux photographies de chaque bande, le résultat obtenu est une «mosaïque» qui peut rendre les services d'une carte provisoire très utile. Ce document peut être photographié, mais on ne peut oublier que les déformations d'ensemble peuvent être considérables; il faut éviter l'erreur qui consiste à y faire des mesures de longueur.

Chaque fois qu'il est possible, l'examen stéréoscopique d'un couple doit être préféré à tout autre examen. On sait qu'un couple est la partie commune à deux photographies consécutives d'une même bande, c'est-à-dire prises successivement par l'avion au cours d'un même vol. L'examen stéréoscopique est seul à permettre simultanément l'examen approfondi des détails planimétriques et celui des formes du relief; on a l'impression d'examiner une maquette du terrain. Cet examen. relativement facile, demande un certain entraînement préalable.

Cet entraînement consiste à apprendre à effectuer correctement un montage stéréoscopique et à interpréter des stéréogrammes¹.

¹Dans ce but, l'Institut géographique national (IGN) en France a édité une note sur l'examen stéréoscopique des photos aériennes et une collection de stéréogrammes types avec interprétation commentée des différents détails identifiés. On peut se les procurer en s'adressant au Service commercial de l'IGN, 107, rue la Boétie, Paris (8e) ou à la Photothèque, 2, avenue Pasteur, Saint-Mandé (Seine).

Cartes particulières de prospection. Le seul document vraiment utile dont on puisse disposer est constitué par le croquis d'ensemble de la zone à exploiter. Ce croquis est établi à l'aide de renseignements recueillis lors de l'inventaire méthodique effectué à partir d'un réseau de layons ouverts à travers la forêt, à exploiter. Voici en quelques mots en quoi consiste cette méthode de prospection destinée à suppléer au manque de cartes à grande échelle et à inventorier les arbres à exploiter dans la zone forestière concédée. L'ensemble du secteur forestier à prospecter est divisé en parcelles rectangulaires par des layons principaux de direction nord-sud et des layons secondaires de direction est-ouest. Les parcelles ont une forme rectangulaire et une surface qui varie suivant les équidistances choisies entre les layons: soit 1 000 × 250 (d'où 25 ha), soit 500 × 200 (d'où 10 ha). Le réseau de layons constitue un canevas topographique auquel on rattache à main levée les formes topographiques et l'emplacement des arbres à exploiter. Pour la, mise au net de ce croquis d'ensemble (encore appelé carte de prospection), on utilise habituellement les échelles de 1/20 000 ou 1/l0 000, on doit se pénétrer de cette vérité de base qu'il ne peut y avoir d'étude de route ou d'exploitation au moindre coût sans une bonne prospection préalable.

L'examen préalable de la carte de prospection va permettre de dégager des zones privilégiées à l'intérieur desquelles on pourra par la suite implanter une route aux caractéristiques précises fixées d'avance. Nous pouvons repérer sur ce croquis:

a) les zones de forêt à exploiter et, par conséquent, à desservir;

b) les points de passage obligés, tels que certains étranglements de vallées pour la traversée des cours d'eau et les cols pouvant devenir des points de franchissement des lignes de crêtes;

c) les zones à éviter: zones marécageuses ou inondées en saison des pluies qui exigeraient un remblai coûteux et d'une stabilité souvent précaire;

d) lés zones d'anciennes plantations vivrières sans arbres à exploiter mais dont la traversée peut être facilitée par l'absence de dessouchage.

Malheureusement, l'ensemble de la carte de prospection n'intéresse que la zone couverte par le permis ou la concession forestière. On est toujours mal renseigné sur lés zones situées en dehors des limites du permis que doit traverser la route principale d'evacuation des bois jusqu'au réseau routier public ou jusqu'à, la voie d'eau' C'est pour cette zone même que les observations aériennes ou l'étude des photographies aériennes seront d'un grand secours.

Phase 2. - Le tracé provisoire

Les documents cartographiques sont ainsi peu à peu complétés par les renseignements glanés par tous les moyens dont on dispose: cartes générales, reconnaissance aérienne, photographies aériennes et cartes de prospection. Ces documents de base sont alors soumis à un examen méthodique à l'issue duquel on pourra proposer un ou plusieurs tracés provisoires. Cet examen comprend deux étapes.

La première consiste en une prise de conscience des formes du terrain; il faut s'assimiler :le modelé de la surface du sol. Ce modelé résulte de l'érosion, c'est-à-dire de la désagrégation des parties hautes du relief et du transport des débris dans les parties basses par les eaux et surtout les eaux de pluie.

Il est commode de souligner l'emplacement des lignes caractéristiques, c'est-à-dire les lignes de faîte et, les thalwegs. Les lignes de partage des eaux ou lignes de faîte sont l'intersection vers le haut de deux versants voisins. Les thalwegs ou lignes de réunion des eaux de ruissellement, souvent suivis par les cours d'eau, sont l'intersection vers le bas de deux versants voisins. Les lignes de même nature se ramifient et s'articulent en quelque sorte à la manière d'un toit. La convergence des eaux vers les points les plus bas amène les thalwegs à confluer les uns dans les autres c'est-à-dire à former un réseau ramifié. Il existe une ligne de faîte entre deux thalwegs et ces lignes de faîte forment un réseau encadrant le réseau des thalwegs.

En repérant systématiquement dans le détail le tracé des thalwegs et des principales lignes de faîte, on obtient une sorte de caricature du terrain (fig. 12) qui en fait ressortir les traits essentiels et facilite son étude.

Lors de la prospection méthodique, on ne sait en général dans quel délai sera étudié le tracé des routes d'exploitation, mais il arrive assez souvent que, faute de pouvoir travailler dans de meilleures conditions, les opérations de prospection précèdent immédiatement l'étude du tracé des routes. Ces deux opérations sont confiées dans ce cas à la même personne. Lors du relevé des données topographiques, le chef de prospection portera une attention particulière aux renseignements utiles pour son étude de route. Il noterai les zones rocheuses, les zones marécageuses, les zones abruptes impropres à un tracé économique, il repérera spécialement les points de passage facile, cols secondaires sur les lignes de faîte, abords des rivières favorables a l'implantation d'un pont, etc. L'ensemble de ces renseignements facilitera l'étude d'ensemble, mettra en mesure de, reconnaître un tracé provisoire plus étudié et :réduira la durée ultérieure des reconnaissances de détail.

FIGURE 12. - Lignes caractéristiques du terrain.

FIGURE 13. - Une courbe à grand rayon M R N doit être préférée à deux courbes de sens contraire M p q r N.

En second lieu, on recherche de proche en proche un tracé provisoire. Dans la pratique, il s'agit de déterminer les points de passage obligé et de prévoir entre deux points successifs un tronçon provisoire. Malgré la variété des formes du terrain, les différents cas soulevés par l'examen des cartes et croquis d'ensemble peuvent se ramener tous aux quelques situations types qui sont examinées ci-dessous:

En terrain plat, la seule difficulté qui puisse se présenter provient des obstacles de tous ordres: les longues lignes droites ne doivent pas être recherchées à tout prix; on a souvent avantage à déplacer d'emblée le tracé hors de la zone encombrée pour éviter des déviations en tournants successifs. En effet, un arc tel que MPN (fig. 13) n'est jamais beaucoup plus long que le trajet direct représenté par la corde MTN. A ce titre, il vaut d'ailleurs mieux éviter d'un coup un ensemble d'obstacles, rochers ou ensemble de grosses souches que de contourner chacun d'eux; un tracé MRN est préférable à un tracé MpqrN.

En terrain accidenté, lorsque l'on rencontre sur le terrain des croupes ou des valonnements marqués, le choix du tracé demande quelques tâtonnements. Si les points de passage obligés sont tout indiqués, la solution s'impose d'elle-même, mais ce cas est exceptionnel. Dans la pratique, le tracé à fixer est toujours un compromis entre la longueur à construire, la pente maximum et les terrassements à limiter. On peut la plupart du temps ramener tout cas particulier à résoudre à l'une des quatre situations types que nous allons examiner maintenant:

a) Les deux points à relier sont dans le fond d'un même thalweg

Lorsque ces deux points (A et B) sont sur la même rive du thalweg, il suffit de se placer au-dessus des zones inondables en hautes eaux; un tracé tel que Apl p2 p3 B (fig. 14) peut se révéler intéressant s'il permet, même au prix d'un loger allongement, de réduire les remblais ou de remplacer un pont P1 un peu important par deux ponceaux p1 et p2 plus faciles à construire.

Lorsque les deux points (A et C) [fig. 14] sont sur deux rives opposées d'un même cours d'eau, il convient de chercher le long de ce ruisseau le point où le franchissement demandera un ouvrage acceptable sans se laisser entraîner à un allongement du parcours excessif. On a souvent avantage à traverser le thalweg le plus en amont possible pour n'avoir à construire qu'un ouvrage peu important. Une solution telle que A p1 p2 P4 C demande moins de remblais et est souvent plus avantageuse qu'une solution du type A p3 p4 p5 C.

FIGURE 14. - Les deux points à relier sont dans le fond d'un même thalweg, A et B sont sur la même rive; A et C sont sur deux rives opposées. Les tracés type +-+-++ sont préférables au tracé type - -

b) Les deux points à relier sont situés dans le même bassin, mais l'un sur le versant, l'autre au fond de la vallée

On a souvent tendance à vouloir descendre du point le plus haut (D) [fig. 15] avec la pente maximum admise jusqu'au fond de la vallée que l'on suit alors en palier jusqu'au point bas. Une autre solution préférable consiste, chaque fois que cela est possible, à suivre un tracé direct en conservant une pente moyenne.

En pratique, on aura très souvent avantage à éviter le tracé direct D p5 E avec pont important p5 pour préférer un tracé tel que D p6 p5 p4 plus long, certes, et comportant trois ponts peu importants p6, p5 et p4, mais que l'on peut construire économiquement en profil mixte, à flanc de coteau, partie en déblai, partie en remblai. Ce tracé peut cumuler les avantages suivants: il conserve une faible pente, demande un entretien: moins coûteux, permet une circulation facile par tous les temps et a l'avantage de desservir une zone de forêt nettement plus étendue pour un prix total comparable.

c) Les deux points à relier sont sur les deux versants opposés d'une même vallée ou d'une même croupe

Cas d'une vallée. Le tracé le plus, direct tel que L P1 M (fig. 16) auquel on peut penser d'abord donne lieu en général à deux fortes pentes (en x et y) et à un ouvrage de traversée relativement important P1 situé entre deux forts remblais d'accès. On n'obtient ainsi qu'un profil difficile à parcourir, d'un entretien onéreux en raison de la forte pente et très coûteux à améliorer par la suite. Par contre, le tracé L P2 p1 M, développé vers l'amont devra toujours être préféré. Il descend vers le thalweg en pente douce, soit 5 à 6 %, inférieure à la pente limite, franchit le thalweg en un point tel qu'un ouvrage moins important suffit et remonte en pente douce sur l'autre versant. Malgré sa plus grande longueur, il peut être exécuté plus rapidement en conservant souvent un profil mixte à flanc de coteau et la dépense totale reste inférieure à celle qu'aurait coûté le tracé direct L P1 M.

Cas d'une croupe. Dans cette situation, le tracé direct tel que M T N (fig. 16) ne teste possible que si la rampe trouvée reste inférieure à la rampe limite. S'il a l'avantage d'être le plus court, il a l'inconvénient de comporter une forte tranchée, au franchissement de la crête (T).

Au cas particulier où l'on aurait besoin de déblais importants pour traverser les vallées adjacentes au-delà de M ou N. ce tracé direct peu t rester intéressant mais à condition que La longueur du transport éventuel des déblais reste acceptable les moyens de terrassement dont on dispose, soit pratiquement moins de 50 à 80 m avec le seul bulldozer.

FIGURE 15. -- Les deux points à relier D et E sont situés dans le même bassin, D sur le versant, E dans la vallée. Le tracé + - + - + - - est préférable au tracé

FIGURE 16. - Les deux points à relier sont sur les deux versants opposés d'une même vallée (L et M) ou d'une même croupe (M et N). Les tracés + - + - + - + sont préférables aux tracés - - - -.

En dehors de ces conditions particulières, on aura alors le choix entre deux solutions: soit contourner la croupe avec une rampe aussi faible que possible en construisant la route à flanc de coteau, en profil mixte (tracé M F N), soit suivre un tracé intermédiaire M D N suivant une pente limite comportant un déblai peu important en D et un allongement du tracé acceptable.

Le choix de la bonne solution sera souvent dicté par d'autres conditions: nature du sol ou emplacement des arbres à exploiter. L'examen des deux cas précédents amène à poser la règle pratique suivante: pour franchir une vallée entre deux points de versants opposés, il faut développer le tracé vers l'amont du thalweg et pour franchir une croupe il faut développer le tracé vers l'aval de la ligne de faîte par rapport à la ligne droite joignant ces deux points.

d) Les deux points à réunir sont situés dans le fond de deux vallées séparées par des contreforts

On commence par rechercher les cols, c'est-à-dire les points où les lignes de faîte pourront être franchies: on se trouve ramené à l'un des cas précédents en employant des tracés moyens coupant les versants successifs en biais par une ligne à pente constante et profil mixte.

C'est en se référant aux règles précédentes que la direction générale d'une route principale sera recherchée pour éviter un allongement excessif du parcours qui influerait sur la rotation des' camions. En revanche, on peut avoir avantage à allonger une route secondaire en conservant un profil en long aux pentes très faibles pour desservir directement une surface plus étendue et collecter facilement les bois situés à proximité immédiate. L'étude menée sur la carte de prospection peut aboutir à un ou deux tracés provisoires théoriques ou esquisses de tracés. Pour arrêter son choix sur l'un d'eux qui devient alors un tracé définitif, il faut examiner plus en détail la configuration du terrain et confronter sur place ces esquisses de tracé avec la réalité au cours de reconnaissances particulières.

Phase 3. - Reconnaissances particulières sur le terrain

Le ou les tracés provisoires retenus au bureau doivent être confrontés avec la configuration du terrain au cours de reconnaissances particulières. Nous avons vu que ces tracés comprennent des tronçons successifs prévus en zones favorables et séparés par des points de passage obligés. Chaque zone favorable et chaque point obligé doivent faire l'objet d'une reconnaissance détaillée. L'époque la plus favorable est la saison des pluies; c'est à ce moment que l'on apprécie le mieux les caractéristiques du sol, la limite des zones marécageuses, la largeur et le niveau d'un cours d'eau. Une reconnaissance menée en saison sèche est certes beaucoup plus agréable mais elle peut entraîner à des erreurs d'appréciation aux conséquences fort ennuyeuses. On se munira de la carte d'ensemble comportant les tracés provisoires, d'une boussole, d'un clisimètre, d'un ruban de 20 m et si possible d'un baromètre anéroïde. Les quelques jalons dont on pourrait avoir besoin se trouvent aisément sur place en forêt.

L'emploi du baromètre pour la mesure des altitudes relatives se fonde sur la variation de la pression atmosphérique qui diminue quand on s'élève dans l'atmosphère.

La différence de pression atmosphérique entre deux points dépend de la pression atmosphérique générale au sens météorologique et de la température moyenne au moment des observations. Il suffit donc de connaître la différence des pressions entre les deux points pour obtenir la différence d'altitude (ou dénivelée) entre ces deux points. Pour compenser les erreurs, on a avantage à se refermer fréquemment, c'est-à-dire à décrire des circuits fermés en passant deux fois au même point lors d'une même reconnaissance par exemple toutes les heures ou tous les deux kilomètres. Ce sont essentiellement les différences d'altitudes que l'on peut mesurer avec la meilleure précision. On utilise un baromètre anéroïde où les variations de dilatation du mécanisme en fonction de la température sont compensées. Cet appareil est essentiellement composé d'une boîte cylindrique dans laquelle le vide a été fait et où un ressort intérieur maintient les faces en équilibre contre la pression atmosphérique. Les flexions du boîtier sont amplifiées par un mécanisme qui commande le mouvement d'une aiguille. On peut choisir soit un modèle de poche de l'encombrement d'une grosse montre, soit un modèle de précision (poids avec étui: 1300 g) qui peut donner une erreur probable de 2 m. Les cadrans des baromètres de nivellement sont altimétriques ou gradués directement en mètres.

Points obligés. S'il s'agit d'un point de franchissement de cours d'eau, on s'assure qu'il n'en existe pas au voisinage de plus favorable qui aurait pu échapper à l'étude sur la carte. Pour apprécier la hauteur des crues éventuelles, on recherche les amas de matériaux entraînés par le flot des crues, on note les traces de limon visibles sur les tiges voisines. S'il s'agit du franchissement d'une ligne de crête ou de partage des eaux entre deux vallées, la ligne de crête principale et les lignes de crêtes ou croupes secondaires sont systématiquement parcourues. Il est souvent indispensable de faire remonter les thalwegs par l'équipe de reconnaissance pour en explorer les parties supérieures favorables à un passage acceptable. Les cotes relatives des points hauts et des points bas caractéristiques sont lues au baromètre.

La nature des terrains rencontrés doit faire l'objet d'observations systématiques sous l'angle des difficultés qu'ils pourraient opposer aux terrassements: déblais ou remblais. Les terrains marécageux inconsistants sur lesquels les remblais risquent de s'enfoncer sont délimités avec précision. Les terrains instables peuvent donner lieu à des éboulis ou à des glissements locaux après l'ouverture des tranchées. Les zones rocheuses qui demanderaient l'emploi d'explosifs sont reconnues et leurs limites explorées. De même une ligne de sources peut caractériser un affleurement marneux dont la route devra être tenue éloignée.

La présence de zones à dominante sableuse ou argileuse, les amas de gravillons de latérite constitueront une référence essentielle pour la construction ultérieure et l'utilisation de la route.

FIGURE 17. Clisimètre-lyre. A gauche: gauche: ouvert. A droite: fermé.

Tous les renseignements de détail relevés au cours de ces reconnaissances sont soigneusement notés et reportés aussitôt sur la carte, si possible sur le terrain même.

Méthode de tracé à pente constante. D'une façon générale, on ne cherchera pas à implanter dès ce moment un tracé définitif en se basant sur le tracé provisoire envisagé lors du premier examen de la carte. Cependant, on peut être amené notamment aux abords des points hauts à étudier comment se développe sur le terrain une ligne à pente constante. Nous décrivons ci-dessous un procédé simple qui peut être suivi par des aides-topographes. C'est le seul moyen à employer lorsque, comme c'est le cas le plus fréquent, on ne dispose pas d'un plan coté.

La méthode générale consiste à opérer en deux étapes.

Première étape: rechercher un tracé possible en s'imposant une déclivité donnée avec des terrassements nuls sur l'axe de la route sans se préoccuper ni de la longueur ni des courbes. Plusieurs essais successifs doivent être tentés en général avec des déclivités décroissantes. Ainsi un premier essai sera fait en implantant provisoirement un tracé à pente de 6 % par exemple, puis un second essai à 4 %. Les tracés théoriques obtenus suivant le procédé décrit plus loin apparaissent sous forme de lignes brisées (appelées lignes polygonales en topographie).

Seconde étape: choisir parmi ces lignes celle qui donne pour une déclivité donnée le tracé le plus court et le moins sinueux, c'est-à-dire celui dont les angles des côtés sont aussi ouverts que possible. La plupart du temps, ce choix pourra être fait directement sur le terrain; lorsqu'en terrain accidenté une incertitude subsiste, il suffit de lever les lignes obtenues à l'aide d'une boussole, d'un ruban et d'un clisimètre pour permettre le choix ultérieur après réflexion.

Cette opération repose sur l'emploi du clisimètre du colonel Goulier (fig. 17) qui constitue pour les reconnaissances rapides l'appareil idéal qu'aucun autre instrument n'a encore pu détrôner. Cet appareil se tient a la main à quelques centimètres de l'œil, par un doigt passé dans l'anneau. Un système collimateur composé d'une grosse loupe permet de voir à l'infini l'image des graduations gravées sur une surface dépolie incorporée dans l'appareil. L'image de l'échelle obtenue à travers l'appareil paraît être dans le même plan que l'objet directement visé et peut lui être comparée. L'appareil est Lesté par un contrepoids en forme de lyre d'où son nom de clisimètre-lyre, de manière que la loupe occupe la même position par rapport à la verticale lorsqu'il est suspendu par son anneau; dans cette position, la ligne de visée passant par le zéro de la graduation est horizontale. On trouve en général chez la plupart des fabricants deux modèles, l'un portant une échelle de pente graduée de 0,5 en 0,6 % de - 40 % à + 40 %, l'autre portant deux échelles (- 100 % à 0 et 0 à + 100 %). Le premier modèle est suffisant pour les études de routes. La précision que l'on peut obtenir est de 0,25 m à 100 m. On ne saurait assez répéter que le clisimètre est l'appareil indispensable à toute étude de routes.

Tracé à pente donnée. Comment implanter un tracé suivant une déclivité ou pente donnée sur le terrain notamment le long d'un versant ? Cie petit problème reçoit trop souvent la médiocre solution suivante: on trace plus ou moins au hasard un alignement quelconque; au moment d'effectuer les terrassements, on s'aperçoit que la pente obtenue est encore trop forte et inacceptable; à l'aide de déblais et de remblais successifs se traduisant par de nombreuses heures de bulldozer, le chef de chantier s'efforce de ramener la pente à un taux qu'il juge acceptable. Ces efforts n'aboutissent la plupart du temps qu'à un résultat très décevant malgré les terrassements importants et coûteux: le profil en long obtenu reste ondulé avec des pentes trop fortes.

Il est illusoire de croire que la recherche d'un profil à pente constante peut être poursuivie en dehors de l'aide d'aucun appareil topographique. Quiconque a essayé de parcourir un versant en suivant une ligne horizontale ou une ligne à faible pente (3 à 5 %) s'est vite rendu compte qu'on a toujours une tendance à remonter vers le haut du versant en décrivant une ligne dont la pente atteint facilement 10 % et plus; cette pente est presque toujours supérieure au taux admissible pour une route d'exploitation en terre; c est pourquoi on ne saurait hésiter à remplacer de tels procédés toujours inefficaces par une opération topographique très simple. L'implantation d'une ligne à pente constante est, d'ailleurs, une opération particulière au tracé des routes.

Le matériel topographique dont on se sert se réduit à: un ruban d'arpenteur de 20 m, une boussole c t un clisimètre. L'équipe se compose de l'agent forestier chef d'équipe et de quatre manœuvres: deux portent la chaîne. Quelques autres manœuvres, de deux à cinq par exemple, sont chargés des détroussés pour faciliter les visées; soit au total un agent forestier chef d'équipe et quatre à sept hommes.

Il est souvent plus commode d'opérer à partir du point le plus élevé du cheminement à implanter, qu'il s'agisse d'un col ou d'un point quelconque d'une ligne de faîte. En effet, le point bas n'est pas toujours fixé de façon impérative et, sous forêt, on voit mieux le terrain en regardant vers le bas du versant. On peut alors utiliser un simple jalon et un clisimètre de la façon suivante:

FIGURE 18. - Clisimètre: image de l'échelle de pentes vue à travers l'appareil avec l'objet visé. On lit: sommet du chapeau à + 65 °/oo ou 6,5 %; sommet du jalon à + 50°/oo ou 5%.

FIGURE 19. - Le terrain a la même pente que la ligne de visée.

Emploi du clisimètre. Le chef d'équipe, porteur du clisimètre, commence par mesurer la hauteur au-dessus du sol à laquelle se trouve son œil lorsqu'il se sert de l'appareil pour mesurer une pente, soit par exemple 1,60 m. Il fait placer un carré de papier blanc (ou de papier journal) de 5 à 10 cm de côté à la même hauteur de référence soit 1,60 m, sur un jalon ou un bâton bien droit. Pour relever au clisimètre la pente de la ligne reliant le porteur de l'appareil au porteur de jalon il suffit de viser le carré de papier. La ligne de visée entre l'œil de l'opérateur et le carré de papier est parallèle à la ligne qui réunit les points de station. Un opérateur exercé se contentera de repérer sur l'homme porte-jalon le point du chapeau ou de la figure qui sert de référence pour le clisimètre: cela évite le jalon qu'il n'est pas toujours commode de faire tenir droit (fig. 18 et 19).

Ce procédé permet d'implanter de proche en proche, par segments ou tronçons successifs, une ligne brisée de pente donnée. La seule précaution à prendre est de veiller à faire tenir bien verticalement le ou les jalons sur le sol.

Un opérateur acquiert très vite avec un peu de bon sens un entraînement qui lui permettra d'avancer rapidement dans l'implantation de cheminement à déclivité donnée. Ce procédé a l'avantage d'être extrêmement simple.

Dès que les sommets de cette ligne à pente donnée sont marqués, il est bon pour en faciliter la conservation de repérer chaque point de station par un jalon (ou une gaulette) fiché dans le sol d'au moins 30 cm. Pour bien distinguer ce jalon, on a souvent l'habitude d'en fendre l'extrémité à la matchette et d'y glisser un morceau de papier blanc qui reste ainsi coincé à la tête du jalon (fig. 20). Il est prudent de porter le numéro sur une flache ouverte à la tête du piquet à l'aide d'un crayon rouge ou d'un stylo à bille. Le long du cheminement ainsi tracé, on peut faire aussitôt ouvrir un layon pour dégager les visées ultérieures. (Je procédé tel que nous venons de le décrire est de loin le plus simple pour implanter un tracé à flanc de coteau.

Phase 4. - Choix du tracé définitif

La carte d'ensemble dûment complétée par les divers renseignements et croquis de toute origine relevés sur le terrain va maintenant servir de base à la détermination du tracé définitif. Les reconnaissances particulières, carte en main, ont permis de prendre un contact plus intime avec le terrain dont les formes sont devenues familières.

C'est ensuite au calme, dans un moment de réflexion, que l'on peut le mieux apprécier les différents obstacles à leur juste valeur. C'est ainsi, par exemple, qu'au lieu de chercher sur le terrain à contourner un ravin aux versants très raides par un long détour difficile à construire, peut être amené à estimer qu'un pont peut être une solution relativement moins onéreuse. De même, un remblai à peine plus long qu'un autre peut sans aucun autre inconvénient constituer un raccourci préférable à un tracé beaucoup plus long. Dans ces deux cas, on ne se trouve pas dans des conditions favorables même avec un bon croquis en main --on n'y dispose pas de tous les éléments importants d'appréciation - le temps disponible reste assez limité et l'ambiance (chaleur, moustiques) n'est pas favorable à une longue réflexion, notamment s'il faut rapidement comparer deux tracés locaux très différents. Pressé par les circonstances, on s'arrête plus ou moins inconsciemment à une solution mal étudiée. Pourquoi ne pas se mettre d'emblée dans les meilleures conditions de calme pour arrêter son choix au cours d'un instant de détente après avoir successivement pesé les différents éléments à considérer?

FIGURE 20. - Jalon avec carré de papier pour visées avec clisimètre. L3 et N: piquets de cheminement.

D'une façon générale, il faut bien comprendre qu'un tracé donné résulte d'un compromis entre des exigences contradictoires telles que minimum de pente et minimum de terrassement; minimum de terrassement et longueur de trajet. Mais les données: terrassements, pente admissible, longueur de parcours, peuvent être appréciées en argent, un calcul rapide permettant de comparer coût de construction et coût d'utilisation apportera toujours quelque lumière nouvelle. Prenons l'exemple particulier suivant: pour aller du point A au point B quelle solution doit-on préférer entre deux trajets aux mêmes caractéristiques de pente: le plus court comporte un gros terrassement qui coûterait environ 600 000 francs, le plus long mesure 2 km de plus dont la construction coûterait 350 000 francs? La décision dépend pour une bonne part de l'utilisation ultérieure de la route: en effet, chaque mètre cube transporté sur ces deux kilomètres supplémentaires provoque une dépense de 20 francs (si 10 francs est le prix moyen du transport du mètre cube au kilomètre); le supplément de coût de construction du trajet court par rapport au trajet long, soit 260 000 francs, correspondrait au transport de 250 000/20, soit 12 500 m³. Il faut en conclure qu'au dessous d'une circulation de 12 500 m³ on devrait choisir le trajet long tandis qu'audessus d'une circulation de 12 500 m³ le trajet court devrait être préféré. En d'autres termes: une route secondaire utiliserait probablement le trajet long, tandis qu'une route principale au contraire suivrait le trajet court.

Au moment d'arrêter son choix, le chef de chantier doit conserver bien présentes à l'esprit les observations générales suivantes qui sont dictées par l'expérience:

1. En terrain peu ou moyennement accidenté, on a toujours avantage à établir une route sur une crête ou à son voisinage immédiat; en se maintenant sur les formes arrondies qu'on y rencontre, le constructeur obtient une économie de terrassement et un drainage facile, car il peut supprimer ban nombre de ponceaux et de remblais.

2. En terrain accidenté, la route principale passera d'une vallée à une autre; chaque route secondaire desservira une parcelle correspondant à l'ensemble d'une vallée secondaire ce qui évitera des franchissements de crête toujours coûteux.

3. A flanc de coteau, surtout dans :les régions accidentées, on recherche les pentes les moins raides (fig. 21). La partie la plus raide des versants est limitée vers le haut par une ligne de changement de pente dite crête militaire qui borde le plateau, au-dessus de laquelle on s'efforcera de se maintenir. Vers le bas, surtout dans les vallées à fond plat, on s'installera au-dessous et au voisinage immédiat du bas de la pente.

4. Dans un tracé de vallée au contraire, on a intérêt à se tenir aussi bas que possible, mais au-dessus des plus hautes eaux; dans une vallée à fond large et plat on évite de recouper de nombreux cours d'eau au voisinage de leur confluent dans la partie où leur cours est le plus large et on fait l'économie de plusieurs ponts (ou ponceaux); si l'on se trouve dans une vallée étroite à flancs raides, on devra traverser moins de dépressions profondes et l'on aura des remblais moins importants.

5. A flanc de coteau, lorsqu'on établit une voie à pente constante, on se contente d'un profil mixte (fig. 21) tel que le terrassement soit nul sur l'axe même, surtout si la pente transversale est faible, ce qui permet un déblai facile à tasser. Par contre si la pente transversale du terrain est forte, on a avantage à réaliser un profil surtout en déblai plutôt qu'un profil mixte (fig. 22), c'est-à-dire à entrer la route dans le terrain; si le volume des déblais en est légèrement accru, du moins la :route a-t-elle une meilleure assise et les drains sont ils plus efficaces.

6. Un déblai important a deux inconvénients: d'une part, la surface de la route encaissée au fond du déblai est moins ensoleillée et sèche moins vite; d'autre part, quand on creuse on peut rencontrer des niveaux de terrain riche en argile particulièrement difficile à stabiliser. Le remède consiste à allonger quelque peu le tracé pour réduire l'importance du déblai.

7. Pour construire plus facilement un remblai notamment pour l'accès à un pont, il peut se révéler particulièrement économique d'asseoir le remblai au voisinage d'une zone d'emprunt facile (fig. 23).

8. Pour tenir compte de la nature des terrains, on ne doit prévoir qu'un remblai peu élevée sur un terrain marécageux et un déblai aussi réduit que possible clans un sol rocheux.

9. En terrain vallonné, les alignements droits sont à implanter en premier lieu, en s'efforçant de prévoir entre eux des angles au sommet ouverts le plus possible, de façon que la courbe de raccordement soit plus facile à implanter; mais en terrain accidenté, il vaut souvent mieux piqueter d'abord les courbes en épousant au plus près la forme du relief du passage sur les croupes ou dans les parties hautes des thalwegs (têtes de ravin).

FIGURE 21. - A flanc de coteau, on recherche les pentes les moins raides.

Phase 5. - Piquetage du tracé sur le terrain

L'implantation consiste dans la matérialisation sur le terrain des différents points remarquables de l'axe du tracé; ces points sont les sommets des alignements droits, les points d'entrée et de sortie de courbe, les sommets de courbe, les points de changements de pente.

Le piquetage consiste à repérer sur le terrain la place exacte qu'occupera la route à construire:

D'une part, on place sur l'axe des piquets tous les 10 m dans les courbes de rayon supérieur à 100 m, tous les 5 m dans les courbes de rayon moindre.

D'autre part, des piquets sont également placés sur les crêtes de talus de déblais, pour délimiter la largeur à dessoucher. Les piquets sont constitués par des morceaux de bois dur de 10 cm de diamètre environ et de 50 cm de long.

Les alignements droits sont implantés à l'œil à l'aide de jalons alignés trois par trois de proche en proche. Il est inutile d'utiliser un cercle d'alignement ou tout autre appareil, on prendra soin de vérifier que les alignements généraux conservent une pente au plus égale à la pente limite admise. L'expérience montre que le tracé réel a toujours tendance à être légèrement plus court que le tracé piqueté, aussi faut-il veiller à n'utiliser qu'une pente maximum inférieure de 1% à la pente limite; c'est pour cette raison qu'un tracé à pente constante effectué selon les indications du paragraphe ci-dessus serait implanté avec une pente réelle de 5 %, par exemple, pour une pente limite prévue de 6 %.

Tracé des courbes de raccordement. Toute courbe destinée à raccorder les deux alignements A' AS et B' BS concourant en S est définie par trois points principaux (fig. 24): les deux points de raccordement de la courbe et des alignements, appelés encore points d'entrée de courbe (A) et points de sortie de courbe (B), et par le sommet C de la courbe qui est situé sur un arc de cercle à l'intersection de la bissectrice de l'angle des deux alignements A' A et BB'.

Dans la plupart des cas, les courbes de raccordement, en fait des arcs de cercle, sont implantées à l'estime. Cette méthode, qui a au moins le mérite de la simplicité, n'est cependant pas toujours bien rapide; elle n'aboutit guère qu'à tracer des courbes de rayon variable. Ces courbes mal tracées sont souvent à l'origine d'accidents par suite de coups de frein intempestifs et brutaux. L'expérience quotidienne montre que les chaussées en terre se dégradent très rapidement dans les courbes, ce qui invite à les tracer avec le plus grand rayon possible.

Pour réaliser un tracé précis des courbes, on peut suivre plusieurs méthodes mais elles ont le double inconvénient de requérir l'usage de tables spéciales et d'obliger à stationner au sommet S de deux alignements ou encore à parcourir les alignements A' AS et B' BS ou la corde A B réunissant les points de raccordement A et B'. Ces divers points ne sont pas toujours accessibles commodément avant l'exécution des premiers terrassements.

Nous donnons ci-dessous un procédé très simple adapté aux besoins forestiers.

FIGURE 22. - On a avantage à réaliser un profil surtout en déblai plutôt qu'en profil mixte équilibré. 1. Profil basé sur l'équilibre du déblai et du remblai. 2. Profil correspondant à un supplément de déblai et à une assise plus stable.

Procédé Fobes. Le procédé suivant2 a l'avantage d'être simple et facile à suivre. Il suffit de se munir d'un ruban (ou chaîne) d'arpenteur de 10 ou 20 m et d'une règle graduée de 2 m:

²Proposé par E. W. Fobes du Laboratoire de Madison Wisconsin (Etats-Unis). Improved alignment of logging roads reduces hauling costs. R 1637-40, juin 1957.

Placer d'abord un jalon ou piquet au point choisi comme point d'entrée de la courbe (point A, fig. 25).

Puis, choisir la distance séparant deux jalons successifs. Il est évident que les jalons devront être plus rapprochés sur les courbes à faible rayon que sur les courbes à grand rayon. Pratiquement, on choisit une distance entre 10 et 20 m entre jalons successifs pour une route principale. Prenons ici 10 m. Déterminer sur l'alignement droit BA un point C situé entre A et le sommet S 10 m (inaccessible) tel que AC = 10 m.

FIGURE 23. Remblai d'accès à un pont.

FIGURE 24. - Tracé des courbes de raccordement.

FIGURE 25. - Tracé d'un arc de cercle par le procédé FOBES

Placer un jalon en D le long de la règle graduée placée perpendiculairement à AC. Le point D se trouve sur la courbe à tracer; sa position est définie par les deux longueurs AC et CD choisies à l'avance en fonction du rayon (tableau 4).

Pour obtenir un nouveau point de la courbe, il suffit de mener une ligne DE telle que DE = CD, de placer un jalon provisoire en E puis de prolonger AE en EF de façon que EF = AE = AC; le point F est le second point de la courbe à tracer. On obtient un troisième point H de la courbe en plaçant un jalon provisoirement en G. tel que FG = DE = CD, puis en menant GH = DG = AC. En répétant ces opérations jusqu'à rencontrer l'autre alignement droit C' A' B' on obtient une courbe qui est un arc de cercle de rayon donnée3.

³Le rayon R de l'arc de cercle est défini par la relation: R² = AC² + (R - CD)².

Au cours d'un premier essai, il est peu probable que le point de contact B' obtenu soit exactement placé dans l'alignement C' A'. Il suffit de recommencer en utilisant une longueur légèrement différente sur la règle graduée. Avec un peu d'habitude, on obtient la courbe recherchée dès le second essai. Le tableau 4 indique comment choisir les longueurs sur le ruban et la règle graduée en fonction du rayon de la courbe que l'on veut tracer.

TABLEAU 4. - TRACÉ DES COURBES PAR LE PROCÉDÉ FOBES

Rayon de la courbe

Longueur de la demi-corde lue sur le ruban AC = AE

Ordonnée au sommet lue sur la règle CD = DE

mètres

30

5

0,42

7

0,83

10

1,72

40

5

0,31

7

0,61

10

1,27

50

5

0,25

7

0,49

10

1,01

75

7

0,33

10

0,66

15

1,52

100

7

0,23

10

0,51

15

1,11

125

7

0,19

10

0,40

15

0,90

150

10

0,33

15

0,75

20

1,34

175

10

0,29

15

0,65

25

1,15

200

10

0,25

15

0,57

20

1,00


Page précédente Début de page Page suivante